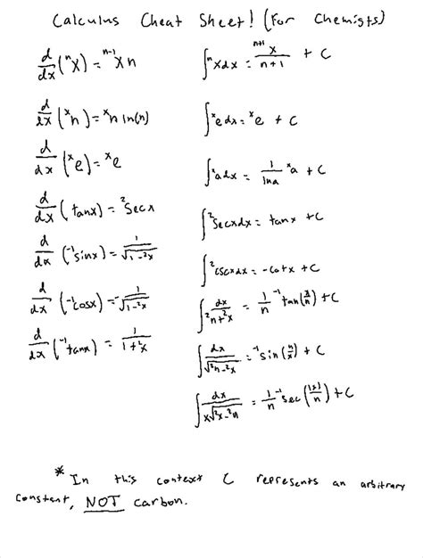
Integration Cheat Sheet - Standard Indefinite Integrals
Learning

Integration Cheat Sheet - Standard Indefinite Integrals

1192 × 1684 px December 17, 2024 Ashley Learning
Download

Mastering calculus can be a challenging yet rewarding endeavor, especially when it comes to understanding integrals. Whether you're a student preparing for exams or a professional looking to brush up on your skills, having a comprehensive Integral Cheat Sheet can be invaluable. This guide will walk you through the essential concepts, formulas, and techniques you need to know to excel in integral calculus.

Understanding Integrals

Integrals are fundamental to calculus, serving as the backbone for calculating areas, volumes, and other cumulative quantities. They come in two main types: definite and indefinite integrals.

Definite Integrals

Definite integrals are used to find the area under a curve between two points. The formula for a definite integral is:

∫ from a to b f(x) dx

Where f(x) is the function being integrated, and a and b are the limits of integration.

Indefinite Integrals

Indefinite integrals, on the other hand, are used to find the antiderivative of a function. The formula is:

∫ f(x) dx

Where f(x) is the function being integrated, and the result includes an arbitrary constant C.

Basic Integration Rules

To effectively use your Integral Cheat Sheet, you need to be familiar with the basic rules of integration. Here are some key rules:

  • Constant Multiple Rule: ∫ k f(x) dx = k ∫ f(x) dx, where k is a constant.
  • Sum and Difference Rule: ∫ [f(x) ± g(x)] dx = ∫ f(x) dx ± ∫ g(x) dx.
  • Power Rule: ∫ x^n dx = (x^(n+1))/(n+1) + C, where n ≠ -1.
  • Exponential Rule: ∫ e^x dx = e^x + C.
  • Logarithmic Rule: ∫ (1/x) dx = ln|x| + C.

Integration Techniques

Beyond the basic rules, there are several techniques that can help you solve more complex integration problems. These techniques are essential for any Integral Cheat Sheet.

Substitution (u-substitution)

Substitution is a powerful technique for simplifying integrals. The basic idea is to replace a part of the integrand with a new variable. The steps are:

  1. Choose a substitution u = g(x).
  2. Compute du = g'(x) dx.
  3. Rewrite the integral in terms of u.
  4. Integrate with respect to u.
  5. Substitute back to the original variable.

💡 Note: Always ensure that the substitution simplifies the integral and does not introduce unnecessary complexity.

Integration by Parts

Integration by parts is useful for integrals involving products of functions. The formula is derived from the product rule for differentiation:

∫ u dv = uv - ∫ v du

To use integration by parts, follow these steps:

  1. Identify u and dv in the integral.
  2. Compute du and v.
  3. Apply the integration by parts formula.

💡 Note: Choosing the correct u and dv is crucial. A common mnemonic is LIATE (Logarithmic, Inverse trigonometric, Algebraic, Trigonometric, Exponential).

Partial Fractions

Partial fractions are used to decompose a rational function into simpler fractions, making it easier to integrate. The steps are:

  1. Factor the denominator.
  2. Express the rational function as a sum of simpler fractions.
  3. Solve for the coefficients.
  4. Integrate each simpler fraction.

💡 Note: Partial fractions are particularly useful for integrals of the form ∫ (P(x)/Q(x)) dx, where P(x) and Q(x) are polynomials.

Common Integral Formulas

Having a list of common integral formulas at your fingertips can save you time and effort. Here are some essential formulas to include in your Integral Cheat Sheet:

Formula Integral
∫ x^n dx (x^(n+1))/(n+1) + C
∫ e^x dx e^x + C
∫ (1/x) dx ln|x| + C
∫ sin(x) dx -cos(x) + C
∫ cos(x) dx sin(x) + C
∫ sec^2(x) dx tan(x) + C
∫ csc^2(x) dx -cot(x) + C

Applications of Integrals

Integrals have a wide range of applications in various fields, including physics, engineering, and economics. Here are a few key applications:

Area Under a Curve

The most basic application of integrals is calculating the area under a curve. This is done using definite integrals:

Area = ∫ from a to b f(x) dx

Volume of Revolution

Integrals can be used to find the volume of a solid of revolution, which is formed by rotating a region around an axis. The formula for the volume of a solid of revolution is:

Volume = π ∫ from a to b [f(x)]^2 dx

Center of Mass

In physics, integrals are used to find the center of mass of an object. The formulas for the center of mass are:

x̄ = (1/M) ∫ from a to b x ρ(x) dx

ȳ = (1/M) ∫ from a to b y ρ(x) dx

Where M is the total mass, ρ(x) is the density function, and x and y are the coordinates.

Work Done by a Force

In mechanics, the work done by a variable force is given by the integral of the force over the distance:

Work = ∫ from a to b F(x) dx

Where F(x) is the force as a function of position.

Integral Calculus Diagram

Integrals are a cornerstone of calculus, and mastering them opens up a world of possibilities in mathematics and its applications. By keeping a comprehensive Integral Cheat Sheet handy, you can navigate through complex problems with confidence and efficiency. Whether you’re solving integrals for academic purposes or applying them in real-world scenarios, understanding the fundamentals and techniques outlined in this guide will serve you well.

Related Terms:

  • integral formula sheets
  • common integrals cheat sheet
  • integral rule cheat sheet
  • basic integral sheet
  • integral and derivative formula sheet
  • common integrals sheet

More Images