Zncl2 Molar Mass

Zncl2 Molar Mass

Understanding the ZnCl2 molar mass is fundamental for anyone working in chemistry, whether in academic research, industrial applications, or educational settings. Zinc chloride (ZnCl2) is a versatile compound with numerous uses, from deodorants to galvanizing agents. This blog post will delve into the details of ZnCl2 molar mass, its calculation, significance, and applications.

What is ZnCl2?

Zinc chloride (ZnCl2) is an inorganic compound composed of zinc and chlorine. It is a white, crystalline solid that is highly soluble in water and has a wide range of applications in various industries. ZnCl2 is commonly used in batteries, as a flux in soldering, and in the production of other zinc compounds.

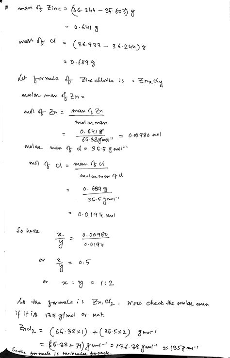
Calculating the ZnCl2 Molar Mass

The molar mass of a compound is the sum of the atomic masses of all the atoms in one molecule of that compound. To calculate the ZnCl2 molar mass, we need to know the atomic masses of zinc (Zn) and chlorine (Cl).

The atomic mass of zinc is approximately 65.38 g/mol, and the atomic mass of chlorine is approximately 35.45 g/mol. Since there are two chlorine atoms in ZnCl2, we need to multiply the atomic mass of chlorine by 2.

Here is the step-by-step calculation:

  • Atomic mass of Zn = 65.38 g/mol
  • Atomic mass of Cl = 35.45 g/mol
  • Number of Cl atoms in ZnCl2 = 2

The ZnCl2 molar mass can be calculated as follows:

ZnCl2 molar mass = (Atomic mass of Zn) + (2 × Atomic mass of Cl)

ZnCl2 molar mass = 65.38 g/mol + (2 × 35.45 g/mol)

ZnCl2 molar mass = 65.38 g/mol + 70.90 g/mol

ZnCl2 molar mass = 136.28 g/mol

Significance of ZnCl2 Molar Mass

The ZnCl2 molar mass is crucial in various chemical calculations and applications. Understanding the molar mass helps in determining the amount of substance in a given mass, which is essential for stoichiometric calculations. This information is vital in industries where precise measurements are required, such as in pharmaceuticals, metallurgy, and chemical manufacturing.

Applications of ZnCl2

ZnCl2 has a wide range of applications due to its unique properties. Some of the key applications include:

  • Batteries: ZnCl2 is used in zinc-air batteries, which are known for their high energy density and long shelf life.
  • Flux in Soldering: It is used as a flux in soldering to remove oxides and improve the flow of solder.
  • Galvanizing Agent: ZnCl2 is used in the galvanizing process to coat steel with a layer of zinc, protecting it from corrosion.
  • Deodorants: It is a common ingredient in deodorants due to its ability to inhibit the growth of bacteria.
  • Chemical Synthesis: ZnCl2 is used as a catalyst in various chemical reactions and in the synthesis of other zinc compounds.

Safety and Handling of ZnCl2

While ZnCl2 is a useful compound, it is important to handle it with care. Here are some safety guidelines:

  • Personal Protective Equipment (PPE): Always wear appropriate PPE, including gloves, safety glasses, and lab coats, when handling ZnCl2.
  • Ventilation: Use ZnCl2 in a well-ventilated area to avoid inhalation of fumes.
  • Storage: Store ZnCl2 in a cool, dry place away from incompatible substances such as strong oxidizing agents.
  • Disposal: Dispose of ZnCl2 according to local regulations and guidelines for hazardous waste.

Environmental Impact of ZnCl2

ZnCl2, like many chemical compounds, can have environmental impacts if not handled properly. It is important to consider the following points:

  • Water Pollution: ZnCl2 can contaminate water bodies if not disposed of correctly, leading to environmental degradation.
  • Soil Contamination: Improper disposal can lead to soil contamination, affecting plant and animal life.
  • Regulations: Adhere to environmental regulations and guidelines to minimize the impact of ZnCl2 on the environment.

📝 Note: Always follow safety protocols and environmental regulations when handling and disposing of ZnCl2 to ensure the safety of both individuals and the environment.

Conclusion

Understanding the ZnCl2 molar mass is essential for various chemical calculations and applications. With a molar mass of 136.28 g/mol, ZnCl2 plays a crucial role in industries ranging from batteries to galvanizing agents. Its versatility and wide range of applications make it a valuable compound in modern chemistry. However, it is important to handle ZnCl2 with care, following safety guidelines and environmental regulations to minimize risks and impacts. By doing so, we can harness the benefits of ZnCl2 while ensuring the safety and well-being of both individuals and the environment.

Related Terms:

  • zncl2 melting point
  • zncl2 reagent
  • zncl2 solution
  • molecular weight of zncl2
  • anhyd zncl2
  • zncl2 aqueous or solid