Vulcanization Of Rubber

Vulcanization Of Rubber

The process of vulcanization of rubber is a critical step in the production of durable and versatile rubber products. This chemical process, discovered by Charles Goodyear in 1839, involves the treatment of natural rubber with sulfur or other curatives to improve its physical properties. Vulcanization transforms raw rubber into a more stable and resilient material, making it suitable for a wide range of applications, from tires and hoses to seals and gaskets.

Understanding the Vulcanization Process

The vulcanization of rubber involves several key steps, each contributing to the final properties of the rubber. The process begins with the preparation of the rubber compound, which includes mixing natural or synthetic rubber with various additives such as sulfur, accelerators, activators, and fillers. These additives enhance the vulcanization process and improve the final product's performance.

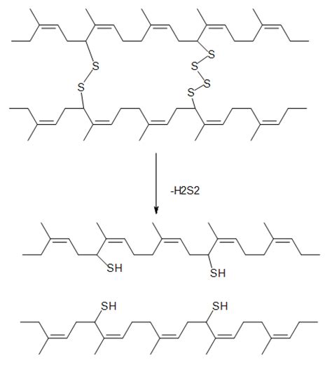
During vulcanization, the rubber compound is heated to a specific temperature, typically between 140°C and 180°C (284°F and 356°F). This heat activates the sulfur, which then forms cross-links between the polymer chains of the rubber. These cross-links create a three-dimensional network that significantly enhances the rubber's strength, elasticity, and resistance to heat and chemicals.

Types of Vulcanization

There are several methods of vulcanization of rubber, each suited to different types of rubber and applications. The most common types include:

  • Conventional Vulcanization: This method uses sulfur as the primary curing agent. It is widely used for natural rubber and some synthetic rubbers.
  • Efficient Vulcanization: This process uses a combination of sulfur and accelerators to speed up the vulcanization process. It is often used for synthetic rubbers like nitrile and styrene-butadiene rubber.
  • Semi-Efficient Vulcanization: This method uses a lower sulfur content and a higher amount of accelerators. It is suitable for applications requiring high flexibility and resilience.
  • Sulfurless Vulcanization: This process does not use sulfur but relies on other curing agents like peroxides or metal oxides. It is used for specific applications where sulfur is not desirable.

Importance of Vulcanization in Rubber Industry

The vulcanization of rubber is essential for the rubber industry due to its ability to enhance the properties of rubber. Before vulcanization, raw rubber is soft, sticky, and lacks durability. Through vulcanization, rubber becomes:

  • More Durable: The cross-linking process makes the rubber more resistant to wear and tear, extending its lifespan.
  • Improved Elasticity: Vulcanized rubber can stretch and return to its original shape more effectively, making it suitable for applications requiring flexibility.
  • Enhanced Resistance: Vulcanized rubber is more resistant to heat, chemicals, and environmental factors, making it ideal for various industrial and consumer products.

These improved properties make vulcanized rubber a versatile material used in numerous industries, including automotive, aerospace, construction, and consumer goods.

Applications of Vulcanized Rubber

The vulcanization of rubber enables the production of a wide range of products that are essential in daily life and various industries. Some of the key applications include:

  • Tires: Vulcanized rubber is the primary material used in the manufacture of tires for automobiles, bicycles, and aircraft. The process ensures that tires are durable, flexible, and resistant to heat and wear.
  • Hoses and Belts: Vulcanized rubber is used in the production of hoses and belts for industrial machinery, automotive engines, and household appliances. These products require high flexibility and resistance to heat and chemicals.
  • Seals and Gaskets: Vulcanized rubber is ideal for seals and gaskets used in plumbing, automotive, and aerospace applications. These components need to be flexible, durable, and resistant to environmental factors.
  • Footwear: Vulcanized rubber is used in the production of soles for shoes and boots. The process ensures that the soles are durable, flexible, and resistant to wear and tear.
  • Medical Devices: Vulcanized rubber is used in the manufacture of medical devices such as gloves, catheters, and tubing. The process ensures that these products are sterile, flexible, and resistant to chemicals.

Factors Affecting Vulcanization

Several factors influence the vulcanization of rubber, including the type of rubber, the curing agents used, the temperature, and the duration of the process. Understanding these factors is crucial for achieving the desired properties in the final product.

Here is a table summarizing the key factors affecting vulcanization:

Factor Description
Type of Rubber Different types of rubber (natural or synthetic) require specific vulcanization conditions.
Curing Agents The choice of sulfur, accelerators, and other additives affects the cross-linking process.
Temperature The heating temperature influences the rate and extent of vulcanization.
Duration The time the rubber is exposed to heat affects the degree of cross-linking.
Pressure Applying pressure during vulcanization can enhance the cross-linking process.

Optimizing these factors ensures that the vulcanized rubber meets the required specifications for its intended application.

🔍 Note: The choice of curing agents and the vulcanization conditions can significantly impact the final properties of the rubber. It is essential to conduct thorough testing to determine the optimal conditions for each specific application.

Environmental Considerations

The vulcanization of rubber process involves the use of chemicals that can have environmental impacts. It is crucial to manage these impacts responsibly to minimize environmental harm. Some key considerations include:

  • Waste Management: Proper disposal of waste materials generated during vulcanization, such as spent sulfur and other chemicals, is essential to prevent environmental contamination.
  • Emissions Control: Controlling emissions of volatile organic compounds (VOCs) and other pollutants during the vulcanization process helps reduce air pollution.
  • Energy Efficiency: Optimizing the energy used in the vulcanization process can reduce greenhouse gas emissions and lower operational costs.

Implementing sustainable practices in the vulcanization process can help mitigate environmental impacts and promote a greener rubber industry.

In the automotive industry, the vulcanization of rubber is particularly important for the production of tires. Tires must withstand various environmental conditions, including extreme temperatures, moisture, and road debris. Vulcanized rubber provides the necessary durability and flexibility to meet these demands.

For example, consider the production of a typical passenger car tire. The process involves several steps, including the mixing of raw materials, shaping the tire, and vulcanization. During vulcanization, the tire is placed in a mold and heated under high pressure. This process ensures that the tire's components are firmly bonded together, creating a durable and flexible product.

In the aerospace industry, vulcanized rubber is used in various components, including seals, gaskets, and hoses. These components must withstand extreme conditions, such as high temperatures, pressure, and chemical exposure. The vulcanization of rubber process ensures that these components are reliable and durable, critical for the safety and performance of aircraft.

For instance, the seals used in aircraft engines must prevent the leakage of hot gases and fluids. Vulcanized rubber provides the necessary flexibility and resistance to heat and chemicals, ensuring the seals perform effectively under extreme conditions.

In the construction industry, vulcanized rubber is used in various applications, including roofing membranes, waterproofing materials, and expansion joints. These products must withstand environmental factors such as UV radiation, moisture, and temperature changes. The vulcanization of rubber process enhances the durability and flexibility of these materials, making them suitable for long-term use in construction projects.

For example, roofing membranes made from vulcanized rubber provide excellent waterproofing and durability. These membranes are resistant to UV radiation, moisture, and temperature changes, ensuring long-term protection for buildings.

In the medical industry, vulcanized rubber is used in the production of various devices, including gloves, catheters, and tubing. These products must be sterile, flexible, and resistant to chemicals. The vulcanization of rubber process ensures that these devices meet the required specifications for medical use.

For instance, medical gloves made from vulcanized rubber provide a barrier against contaminants while maintaining flexibility and comfort. The vulcanization process ensures that the gloves are durable and resistant to chemicals, making them suitable for medical procedures.

In the consumer goods industry, vulcanized rubber is used in various products, including footwear, sporting goods, and household items. These products must be durable, flexible, and resistant to wear and tear. The vulcanization of rubber process enhances the properties of rubber, making it suitable for a wide range of consumer applications.

For example, the soles of athletic shoes made from vulcanized rubber provide excellent traction, durability, and flexibility. The vulcanization process ensures that the soles are resistant to wear and tear, making them suitable for various sporting activities.

In the industrial machinery sector, vulcanized rubber is used in the production of hoses, belts, and seals. These components must withstand high temperatures, pressure, and chemical exposure. The vulcanization of rubber process ensures that these components are reliable and durable, critical for the performance of industrial machinery.

For instance, hoses used in industrial machinery must transport fluids under high pressure and temperature. Vulcanized rubber provides the necessary flexibility and resistance to heat and chemicals, ensuring the hoses perform effectively under demanding conditions.

In the automotive industry, the vulcanization of rubber is particularly important for the production of tires. Tires must withstand various environmental conditions, including extreme temperatures, moisture, and road debris. Vulcanized rubber provides the necessary durability and flexibility to meet these demands.

For example, consider the production of a typical passenger car tire. The process involves several steps, including the mixing of raw materials, shaping the tire, and vulcanization. During vulcanization, the tire is placed in a mold and heated under high pressure. This process ensures that the tire's components are firmly bonded together, creating a durable and flexible product.

In the aerospace industry, vulcanized rubber is used in various components, including seals, gaskets, and hoses. These components must withstand extreme conditions, such as high temperatures, pressure, and chemical exposure. The vulcanization of rubber process ensures that these components are reliable and durable, critical for the safety and performance of aircraft.

For instance, the seals used in aircraft engines must prevent the leakage of hot gases and fluids. Vulcanized rubber provides the necessary flexibility and resistance to heat and chemicals, ensuring the seals perform effectively under extreme conditions.

In the construction industry, vulcanized rubber is used in various applications, including roofing membranes, waterproofing materials, and expansion joints. These products must withstand environmental factors such as UV radiation, moisture, and temperature changes. The vulcanization of rubber process enhances the durability and flexibility of these materials, making them suitable for long-term use in construction projects.

For example, roofing membranes made from vulcanized rubber provide excellent waterproofing and durability. These membranes are resistant to UV radiation, moisture, and temperature changes, ensuring long-term protection for buildings.

In the medical industry, vulcanized rubber is used in the production of various devices, including gloves, catheters, and tubing. These products must be sterile, flexible, and resistant to chemicals. The vulcanization of rubber process ensures that these devices meet the required specifications for medical use.

For instance, medical gloves made from vulcanized rubber provide a barrier against contaminants while maintaining flexibility and comfort. The vulcanization process ensures that the gloves are durable and resistant to chemicals, making them suitable for medical procedures.

In the consumer goods industry, vulcanized rubber is used in various products, including footwear, sporting goods, and household items. These products must be durable, flexible, and resistant to wear and tear. The vulcanization of rubber process enhances the properties of rubber, making it suitable for a wide range of consumer applications.

For example, the soles of athletic shoes made from vulcanized rubber provide excellent traction, durability, and flexibility. The vulcanization process ensures that the soles are resistant to wear and tear, making them suitable for various sporting activities.

In the industrial machinery sector, vulcanized rubber is used in the production of hoses, belts, and seals. These components must withstand high temperatures, pressure, and chemical exposure. The vulcanization of rubber process ensures that these components are reliable and durable, critical for the performance of industrial machinery.

For instance, hoses used in industrial machinery must transport fluids under high pressure and temperature. Vulcanized rubber provides the necessary flexibility and resistance to heat and chemicals, ensuring the hoses perform effectively under demanding conditions.

In conclusion, the vulcanization of rubber is a critical process that transforms raw rubber into a durable and versatile material. This process enhances the properties of rubber, making it suitable for a wide range of applications across various industries. From tires and hoses to seals and medical devices, vulcanized rubber plays a crucial role in modern technology and everyday life. Understanding the vulcanization of rubber process and its importance is essential for appreciating the versatility and durability of rubber products.

Related Terms:

  • sulfur vulcanization of rubber
  • vulcanization of rubber process
  • vulcanization of rubber formula
  • vulcanization of rubber mechanism
  • vulcanization of natural rubber
  • vulcanization of rubber reaction