Vanderbilt Electrolyte Repletion

Vanderbilt Electrolyte Repletion

Electrolyte imbalances can significantly impact overall health and well-being, affecting everything from muscle function to heart health. One of the most effective methods for addressing these imbalances is through Vanderbilt Electrolyte Repletion. This approach is widely recognized for its precision and effectiveness in restoring electrolyte balance, making it a crucial tool in medical settings. This blog post will delve into the importance of electrolyte balance, the specifics of the Vanderbilt Electrolyte Repletion protocol, and how it can be applied in various scenarios.

Understanding Electrolyte Imbalance

Electrolytes are minerals that carry an electric charge when dissolved in a liquid such as blood. The primary electrolytes in the human body include sodium, potassium, calcium, magnesium, chloride, phosphate, and bicarbonate. These minerals play vital roles in various bodily functions, including:

  • Regulating nerve and muscle function
  • Maintaining proper hydration
  • Balancing pH levels
  • Supporting heart health

An imbalance in any of these electrolytes can lead to a range of symptoms, from mild discomfort to life-threatening conditions. Common causes of electrolyte imbalances include:

  • Dehydration
  • Excessive sweating
  • Vomiting or diarrhea
  • Certain medications
  • Chronic diseases such as kidney or heart disease

The Vanderbilt Electrolyte Repletion Protocol

The Vanderbilt Electrolyte Repletion protocol is a systematic approach designed to correct electrolyte imbalances efficiently. Developed by medical professionals at Vanderbilt University Medical Center, this protocol has become a standard in many healthcare settings due to its reliability and effectiveness.

The protocol involves a series of steps that include:

  • Assessing the patient's electrolyte levels through blood tests
  • Calculating the required amounts of each electrolyte to be replenished
  • Administering the electrolytes through intravenous (IV) fluids or oral supplements
  • Monitoring the patient's response and adjusting the treatment as needed

One of the key advantages of the Vanderbilt Electrolyte Repletion protocol is its ability to tailor the treatment to the individual needs of the patient. This personalized approach ensures that the correct amounts of electrolytes are administered, minimizing the risk of overcorrection or undercorrection.

Key Electrolytes and Their Roles

To understand the Vanderbilt Electrolyte Repletion protocol better, it's essential to know the roles of the key electrolytes involved:

Electrolyte Primary Functions Common Causes of Imbalance
Sodium Regulates fluid balance, nerve and muscle function Dehydration, excessive sweating, certain medications
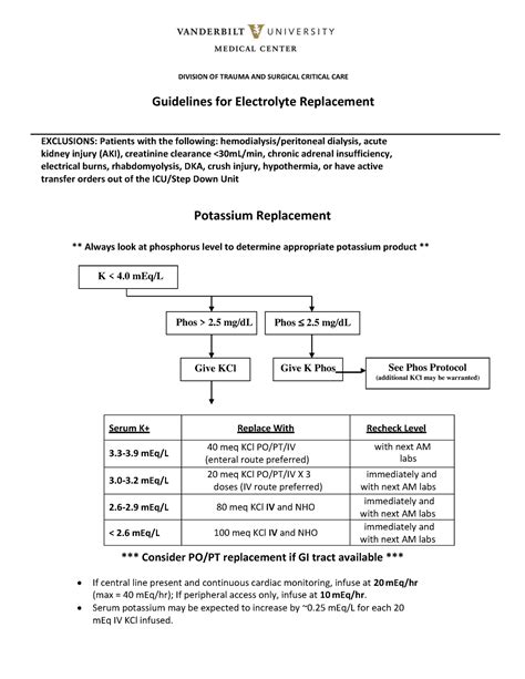
Potassium Essential for heart function, muscle and nerve activity Diarrhea, vomiting, certain medications, kidney disease
Calcium Bone health, muscle contractions, nerve signaling Vitamin D deficiency, kidney disease, certain medications
Magnesium Muscle and nerve function, blood glucose control, blood pressure regulation Poor diet, alcoholism, certain medications
Chloride Maintains fluid balance, supports digestion Dehydration, vomiting, certain medications
Phosphate Bone health, energy production, acid-base balance Malnutrition, alcoholism, certain medications
Bicarbonate Regulates pH levels, supports digestion Diarrhea, vomiting, certain medications

Each of these electrolytes plays a crucial role in maintaining overall health, and any imbalance can have significant consequences. The Vanderbilt Electrolyte Repletion protocol addresses these imbalances by providing a structured approach to electrolyte replacement.

Applying the Vanderbilt Electrolyte Repletion Protocol

The application of the Vanderbilt Electrolyte Repletion protocol involves several steps, each designed to ensure accurate and effective electrolyte replacement. Here is a detailed breakdown of the process:

Step 1: Initial Assessment

The first step in the protocol is to assess the patient's electrolyte levels. This is typically done through blood tests that measure the concentrations of key electrolytes in the blood. The results of these tests provide a baseline for determining the extent of the imbalance and the necessary corrections.

📝 Note: It is crucial to perform these tests under the supervision of a healthcare professional to ensure accuracy and safety.

Step 2: Calculating Replacement Needs

Once the electrolyte levels are known, the next step is to calculate the amount of each electrolyte that needs to be replenished. This calculation takes into account the patient's weight, the severity of the imbalance, and any underlying medical conditions. The goal is to restore electrolyte levels to within the normal range without causing overcorrection.

📝 Note: Overcorrection can lead to new imbalances and potential complications, so precise calculations are essential.

Step 3: Administering Electrolytes

The administration of electrolytes can be done through IV fluids or oral supplements, depending on the patient's condition and the severity of the imbalance. IV administration is often preferred in cases of severe dehydration or when the patient is unable to take oral supplements. Oral supplements are typically used for milder cases or as a follow-up to IV treatment.

During this step, it is essential to monitor the patient closely to ensure that the electrolytes are being absorbed correctly and that there are no adverse reactions. Adjustments to the treatment plan may be necessary based on the patient's response.

Step 4: Monitoring and Adjustment

After the initial administration of electrolytes, ongoing monitoring is crucial to ensure that the treatment is effective and that electrolyte levels are returning to normal. This may involve additional blood tests and adjustments to the treatment plan as needed. The goal is to achieve a stable electrolyte balance that supports overall health and well-being.

📝 Note: Regular follow-ups are essential to prevent recurrence of electrolyte imbalances and to address any underlying conditions that may be contributing to the problem.

Special Considerations

While the Vanderbilt Electrolyte Repletion protocol is effective for most patients, there are special considerations to keep in mind for certain populations. These include:

  • Pediatric Patients: Children have different electrolyte needs and may require adjusted dosages and monitoring.
  • Elderly Patients: Older adults may have underlying conditions that affect electrolyte balance and may require more careful monitoring.
  • Pregnant Women: Pregnancy can affect electrolyte levels, and special considerations may be necessary to ensure the health of both the mother and the baby.
  • Athletes: Individuals who engage in intense physical activity may have higher electrolyte needs and may require more frequent monitoring and supplementation.

In each of these cases, the Vanderbilt Electrolyte Repletion protocol can be adapted to meet the specific needs of the patient, ensuring effective and safe electrolyte replacement.

Preventing Electrolyte Imbalances

While the Vanderbilt Electrolyte Repletion protocol is an effective treatment for electrolyte imbalances, prevention is always the best approach. Here are some strategies to help maintain healthy electrolyte levels:

  • Stay Hydrated: Drink plenty of water throughout the day to maintain proper hydration.
  • Balanced Diet: Consume a diet rich in fruits, vegetables, and lean proteins to ensure adequate intake of electrolytes.
  • Avoid Excessive Sweating: Limit exposure to extreme heat and humidity, and take breaks during physical activity to prevent excessive sweating.
  • Monitor Medications: Be aware of any medications that may affect electrolyte levels and consult with a healthcare provider if necessary.
  • Regular Check-ups: Schedule regular medical check-ups to monitor electrolyte levels, especially if you have a history of imbalances or underlying conditions.

By following these strategies, you can help prevent electrolyte imbalances and maintain overall health and well-being.

Electrolyte imbalances can have significant impacts on health, but with the Vanderbilt Electrolyte Repletion protocol, these imbalances can be effectively addressed. By understanding the roles of key electrolytes, following the protocol’s steps, and considering special populations, healthcare providers can ensure accurate and safe electrolyte replacement. Prevention strategies can also help maintain healthy electrolyte levels and reduce the risk of imbalances. With this comprehensive approach, individuals can achieve and maintain optimal health and well-being.

Related Terms:

  • vanderbuilt university electrolyte replacement
  • vanderbilt electrolyte repletion guide
  • vanderbilt potassium protocol
  • vanderbilt guidelines electrolyte
  • calcium replacement vanderbilt
  • vanderbilt electrolyte repletion studies