Teacher On Progressive Discipline

Teacher On Progressive Discipline

Effective classroom management is a cornerstone of successful teaching, and one of the most critical aspects of this is the implementation of a progressive discipline system. A Teacher On Progressive Discipline understands that maintaining a positive and productive learning environment requires a structured approach to managing student behavior. This approach not only helps in addressing misbehavior but also fosters a sense of responsibility and self-discipline among students.

Understanding Progressive Discipline

Progressive discipline is a systematic approach to managing student behavior that involves a series of increasingly severe consequences for repeated or serious misbehavior. The goal is to correct behavior rather than punish students, encouraging them to take responsibility for their actions and learn from their mistakes. This method is particularly effective because it provides clear expectations and consistent consequences, which helps students understand the impact of their behavior on the classroom environment.

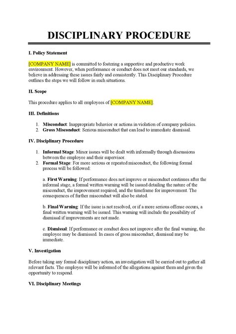
Steps in Implementing Progressive Discipline

Implementing a progressive discipline system involves several key steps. These steps ensure that the process is fair, consistent, and effective in addressing behavior issues.

Establishing Clear Expectations

The first step in implementing progressive discipline is to establish clear expectations for student behavior. These expectations should be communicated clearly and consistently to all students. Clear expectations help students understand what is required of them and what behaviors are acceptable in the classroom. Some common expectations include:

  • Respect for teachers and peers
  • Active participation in class activities
  • Completion of assignments on time
  • Following classroom rules and procedures

It is essential to involve students in the process of setting these expectations. This involvement helps students feel a sense of ownership and responsibility for their behavior.

Consistent Consequences

Once expectations are established, the next step is to implement consistent consequences for misbehavior. These consequences should be clearly communicated to students and applied fairly and consistently. The consequences should be progressive, meaning they become more severe with repeated or serious misbehavior. Some examples of progressive consequences include:

  • Verbal warning
  • Loss of privileges
  • Detention or after-school detention
  • Parent/guardian contact
  • In-school suspension
  • Out-of-school suspension

Consistency is key in applying these consequences. Inconsistent application can lead to confusion and a lack of respect for the discipline system.

Documenting Incidents

Documenting incidents of misbehavior is an essential part of progressive discipline. Keeping a record of incidents helps in tracking patterns of behavior and ensuring that consequences are applied fairly and consistently. Documentation should include:

  • The date and time of the incident
  • A description of the behavior
  • The consequence applied
  • Any follow-up actions taken

Documentation also provides a record that can be used to communicate with parents/guardians and other stakeholders about the student's behavior.

Communicating with Parents/Guardians

Effective communication with parents/guardians is crucial in implementing progressive discipline. Parents/guardians should be informed about their child's behavior and the consequences applied. This communication helps in gaining their support and involvement in addressing behavior issues. Some ways to communicate with parents/guardians include:

  • Phone calls or emails
  • Parent-teacher conferences
  • Progress reports
  • Behavior contracts

Regular and open communication helps in building a positive relationship with parents/guardians and ensures that they are involved in their child's education and behavior management.

Providing Support and Intervention

In addition to applying consequences, it is important to provide support and intervention for students who exhibit persistent behavior issues. This support can include:

  • Counseling services
  • Behavior intervention plans
  • Academic support
  • Social skills training

Providing support and intervention helps in addressing the underlying causes of misbehavior and promoting positive behavior change.

📝 Note: It is important to remember that progressive discipline is not about punishment but about correction and support. The goal is to help students learn from their mistakes and develop self-discipline.

Benefits of Progressive Discipline

Implementing a progressive discipline system offers several benefits for both students and teachers. Some of the key benefits include:

  • Improved classroom management
  • Reduced behavior issues
  • Increased student responsibility and self-discipline
  • Enhanced teacher-student relationships
  • Better communication with parents/guardians
  • Support for students with behavior challenges

These benefits contribute to a positive and productive learning environment, where students feel supported and motivated to succeed.

Challenges in Implementing Progressive Discipline

While progressive discipline offers many benefits, it also presents several challenges. Some of the common challenges include:

  • Inconsistent application of consequences
  • Lack of support from parents/guardians
  • Resistance from students
  • Limited resources for support and intervention

Addressing these challenges requires a collaborative effort from teachers, parents/guardians, and school administrators. Regular training and support for teachers, open communication with parents/guardians, and adequate resources for support and intervention can help overcome these challenges.

Best Practices for Progressive Discipline

To ensure the effective implementation of progressive discipline, it is important to follow best practices. Some of the best practices include:

  • Establishing clear and consistent expectations
  • Applying consequences fairly and consistently
  • Documenting incidents of misbehavior
  • Communicating regularly with parents/guardians
  • Providing support and intervention for students with behavior challenges
  • Seeking support from school administrators and colleagues

Following these best practices helps in creating a positive and productive learning environment, where students feel supported and motivated to succeed.

Case Studies: Progressive Discipline in Action

To illustrate the effectiveness of progressive discipline, let's consider a few case studies of schools that have successfully implemented this approach.

Case Study 1: Elementary School

An elementary school implemented a progressive discipline system to address behavior issues in the classroom. The school established clear expectations for student behavior and communicated these expectations to students and parents/guardians. The school also implemented a system of progressive consequences, including verbal warnings, loss of privileges, and detention. The school documented incidents of misbehavior and communicated regularly with parents/guardians about their child's behavior. The school also provided support and intervention for students with behavior challenges, including counseling services and behavior intervention plans.

As a result of these efforts, the school saw a significant reduction in behavior issues and an improvement in classroom management. Students felt supported and motivated to succeed, and teachers reported feeling more in control of their classrooms.

Case Study 2: Middle School

A middle school implemented a progressive discipline system to address behavior issues in the classroom. The school established clear expectations for student behavior and communicated these expectations to students and parents/guardians. The school also implemented a system of progressive consequences, including verbal warnings, loss of privileges, and detention. The school documented incidents of misbehavior and communicated regularly with parents/guardians about their child's behavior. The school also provided support and intervention for students with behavior challenges, including counseling services and behavior intervention plans.

As a result of these efforts, the school saw a significant reduction in behavior issues and an improvement in classroom management. Students felt supported and motivated to succeed, and teachers reported feeling more in control of their classrooms.

Case Study 3: High School

A high school implemented a progressive discipline system to address behavior issues in the classroom. The school established clear expectations for student behavior and communicated these expectations to students and parents/guardians. The school also implemented a system of progressive consequences, including verbal warnings, loss of privileges, and detention. The school documented incidents of misbehavior and communicated regularly with parents/guardians about their child's behavior. The school also provided support and intervention for students with behavior challenges, including counseling services and behavior intervention plans.

As a result of these efforts, the school saw a significant reduction in behavior issues and an improvement in classroom management. Students felt supported and motivated to succeed, and teachers reported feeling more in control of their classrooms.

Conclusion

Progressive discipline is a powerful tool for managing student behavior and creating a positive and productive learning environment. By establishing clear expectations, applying consistent consequences, documenting incidents, communicating with parents/guardians, and providing support and intervention, teachers can effectively address behavior issues and promote positive behavior change. While implementing progressive discipline presents challenges, following best practices and seeking support from school administrators and colleagues can help overcome these challenges. Ultimately, progressive discipline helps in fostering a sense of responsibility and self-discipline among students, contributing to their academic and personal success.

Related Terms:

  • progressive discipline in schools
  • progressive discipline in the workplace
  • progressive discipline model
  • progressive discipline pdf
  • what is progressive discipline
  • progressive discipline examples pdf