Tabla De Derivadas

Tabla De Derivadas

Calculus is a fundamental branch of mathematics that deals with rates of change and accumulation of quantities. One of the essential tools in calculus is the Tabla De Derivadas, or the table of derivatives. This table is a comprehensive list of derivatives of common functions, which serves as a quick reference for students and professionals alike. Understanding and utilizing the Tabla De Derivadas can significantly enhance one's ability to solve complex problems in calculus.

Understanding Derivatives

Before diving into the Tabla De Derivadas, it’s crucial to understand what derivatives are. A derivative measures how a function changes as its input changes. In other words, it represents the rate at which something is changing at a specific point. Derivatives are used in various fields, including physics, engineering, economics, and more.

Basic Rules of Differentiation

To effectively use the Tabla De Derivadas, one must be familiar with the basic rules of differentiation. These rules include:

  • Constant Rule: The derivative of a constant is zero.
  • Power Rule: The derivative of xn is nxn-1.
  • Constant Multiple Rule: The derivative of c * f(x) is c * f’(x), where c is a constant.
  • Sum and Difference Rule: The derivative of f(x) + g(x) is f’(x) + g’(x), and the derivative of f(x) - g(x) is f’(x) - g’(x).
  • Product Rule: The derivative of f(x) * g(x) is f’(x) * g(x) + f(x) * g’(x).
  • Quotient Rule: The derivative of f(x) / g(x) is (f’(x) * g(x) - f(x) * g’(x)) / (g(x))2.
  • Chain Rule: The derivative of f(g(x)) is f’(g(x)) * g’(x).

The Importance of the Tabla De Derivadas

The Tabla De Derivadas is an invaluable resource for anyone studying or working with calculus. It provides a quick reference for the derivatives of common functions, saving time and reducing the likelihood of errors. Whether you are a student preparing for an exam or a professional solving real-world problems, having access to a Tabla De Derivadas can be a game-changer.

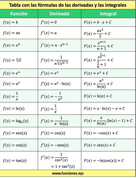
Common Functions and Their Derivatives

Here is a table of some common functions and their derivatives, which you would typically find in a Tabla De Derivadas:

Function Derivative
f(x) = xn f'(x) = nxn-1
f(x) = ex f'(x) = ex
f(x) = ax f'(x) = ax ln(a)
f(x) = ln(x) f'(x) = 1/x
f(x) = loga(x) f'(x) = 1/(x ln(a))
f(x) = sin(x) f'(x) = cos(x)
f(x) = cos(x) f'(x) = -sin(x)
f(x) = tan(x) f'(x) = sec2(x)
f(x) = arcsin(x) f'(x) = 1/√(1-x2)
f(x) = arccos(x) f'(x) = -1/√(1-x2)
f(x) = arctan(x) f'(x) = 1/(1+x2)

📝 Note: This table covers basic functions, but a comprehensive Tabla De Derivadas would include many more functions and their derivatives.

Applications of the Tabla De Derivadas

The Tabla De Derivadas is not just a theoretical tool; it has practical applications in various fields. Here are a few examples:

  • Physics: Derivatives are used to describe the motion of objects, the rate of change of physical quantities, and more.
  • Engineering: In fields like mechanical and electrical engineering, derivatives are used to analyze systems, optimize designs, and solve problems.
  • Economics: Derivatives help in understanding marginal costs, revenues, and profits, which are crucial for economic decision-making.
  • Computer Science: In algorithms and machine learning, derivatives are used to optimize functions and improve performance.

Practice Problems

To master the use of the Tabla De Derivadas, it’s essential to practice solving problems. Here are a few examples:

  • Find the derivative of f(x) = 3x4 - 2x3 + 5x - 7.
  • Differentiate g(x) = ex * sin(x) using the product rule.
  • Calculate the derivative of h(x) = ln(x2 + 1) using the chain rule.
  • Find the derivative of k(x) = arctan(x2).

📝 Note: When solving these problems, refer to the Tabla De Derivadas for quick reference and to verify your answers.

Advanced Topics

As you become more comfortable with the basics, you can explore advanced topics in calculus. These include:

  • Implicit Differentiation: This technique is used when the function is not explicitly defined in terms of x.
  • Partial Derivatives: These are used in multivariable calculus to differentiate functions of multiple variables.
  • Higher-Order Derivatives: These involve differentiating a function multiple times to find the second, third, or higher derivatives.

Each of these topics has its own set of rules and applications, and a comprehensive Tabla De Derivadas would include derivatives for these advanced functions as well.

Conclusion

The Tabla De Derivadas is an essential tool for anyone studying or working with calculus. It provides a quick reference for the derivatives of common functions, making it easier to solve problems and understand complex concepts. By mastering the Tabla De Derivadas and practicing with various problems, you can enhance your calculus skills and apply them to real-world situations. Whether you are a student, a professional, or simply someone interested in mathematics, the Tabla De Derivadas is a valuable resource that can help you succeed.

Related Terms:

  • calculadora de derivadas
  • tabla de integrales pdf
  • derivada del logaritmo
  • tabla de derivadas pdf completa
  • derivada de 1 x
  • tabla de derivadas pdf