Small Estate Affidavit Illinois

Small Estate Affidavit Illinois

Navigating the complexities of estate settlement can be overwhelming, especially when dealing with the loss of a loved one. In Illinois, one of the tools available to simplify this process is the Small Estate Affidavit Illinois. This legal document allows for the transfer of assets without the need for formal probate, making it a valuable option for estates that meet certain criteria. Understanding how to use a Small Estate Affidavit Illinois can save time, reduce costs, and alleviate some of the stress associated with estate settlement.

What is a Small Estate Affidavit?

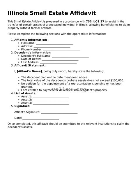
A Small Estate Affidavit Illinois is a legal document used to transfer the assets of a deceased person’s estate to their heirs or beneficiaries without going through the formal probate process. This affidavit is particularly useful for estates that are considered “small” under Illinois law. The criteria for what constitutes a small estate can vary, but generally, it includes estates with assets below a certain threshold.

Eligibility for a Small Estate Affidavit in Illinois

To determine if an estate qualifies for a Small Estate Affidavit Illinois, several factors must be considered:

  • The total value of the estate’s assets.
  • The type of assets included in the estate.
  • The presence of any real estate.

In Illinois, an estate may qualify for a small estate affidavit if the total value of the personal property (excluding real estate) is 100,000 or less. If the estate includes real estate, the value of the real estate must be 200,000 or less. These thresholds are subject to change, so it is essential to verify the current limits.

Steps to Complete a Small Estate Affidavit in Illinois

Completing a Small Estate Affidavit Illinois involves several steps. Here is a detailed guide to help you through the process:

Step 1: Gather Necessary Information

Before you begin, gather all the necessary information, including:

  • The deceased person’s full name, date of birth, and date of death.
  • The names and addresses of the heirs or beneficiaries.
  • A list of all assets and their values.
  • Any relevant documents, such as the death certificate and will (if applicable).

Step 2: Prepare the Affidavit

The Small Estate Affidavit Illinois must include specific information and be signed by the affiant (the person making the affidavit). The affidavit should state:

  • The affiant’s relationship to the deceased.
  • The value of the estate’s assets.
  • The names and addresses of the heirs or beneficiaries.
  • A description of the assets being transferred.

It is crucial to ensure that the affidavit is accurate and complete to avoid any legal issues.

Step 3: Sign and Notarize the Affidavit

Once the affidavit is prepared, it must be signed by the affiant in the presence of a notary public. The notary will verify the affiant’s identity and witness the signature. This step is essential to ensure the affidavit’s validity.

Step 4: File the Affidavit with the Appropriate Authorities

After the affidavit is signed and notarized, it must be filed with the appropriate authorities. This typically includes the county clerk’s office where the deceased resided. Some financial institutions may also require a copy of the affidavit to release assets.

Step 5: Distribute the Assets

Once the affidavit is filed, the assets can be distributed to the heirs or beneficiaries as specified in the affidavit. This step involves transferring ownership of the assets, which may include closing bank accounts, transferring titles, and distributing personal property.

📝 Note: It is advisable to consult with a legal professional to ensure that all steps are completed correctly and that the affidavit complies with Illinois law.

Common Mistakes to Avoid

When completing a Small Estate Affidavit Illinois, it is essential to avoid common mistakes that can delay the process or invalidate the affidavit. Some of these mistakes include:

  • Inaccurate or incomplete information.
  • Failure to notarize the affidavit.
  • Not filing the affidavit with the appropriate authorities.
  • Incorrect distribution of assets.

By being diligent and thorough, you can avoid these pitfalls and ensure a smooth process.

Benefits of Using a Small Estate Affidavit

Using a Small Estate Affidavit Illinois offers several benefits, including:

  • Cost savings: Avoiding the formal probate process can save significant legal fees.
  • Time savings: The affidavit process is generally quicker than probate.
  • Simplicity: The process is less complex and requires fewer legal steps.
  • Privacy: The affidavit process is more private than probate, as it does not involve court proceedings.

These benefits make the Small Estate Affidavit Illinois an attractive option for many families.

When to Consider Formal Probate

While a Small Estate Affidavit Illinois is a convenient option, there are situations where formal probate may be necessary. These include:

  • Estates with assets exceeding the small estate threshold.
  • Estates with complex assets or debts.
  • Estates with disputes among heirs or beneficiaries.

In such cases, consulting with a probate attorney can help determine the best course of action.

Conclusion

Navigating the estate settlement process can be challenging, but understanding the Small Estate Affidavit Illinois can simplify the journey. By following the steps outlined and avoiding common mistakes, you can efficiently transfer assets to heirs or beneficiaries. The benefits of using a small estate affidavit, including cost and time savings, make it a valuable tool for many families. However, it is essential to consult with a legal professional to ensure compliance with Illinois law and to determine if formal probate is necessary. With the right approach, the estate settlement process can be managed smoothly, allowing families to focus on healing and moving forward.

Related Terms:

  • illinois small estate affidavit pdf
  • illinois small estate affidavit process
  • small estate affidavit illinois printable
  • small estate affidavit illinois amount
  • small estate affidavit illinois form