Sinx Cosx Integral

Sinx Cosx Integral

Integrals are fundamental tools in calculus, used to calculate areas, volumes, and other quantities. One of the most common integrals encountered in calculus is the Sinx Cosx Integral. This integral is not only a staple in calculus courses but also has numerous applications in physics, engineering, and other scientific fields. Understanding how to solve the Sinx Cosx Integral is crucial for mastering calculus and applying it to real-world problems.

Understanding the Sinx Cosx Integral

The Sinx Cosx Integral refers to the integral of the product of sine and cosine functions. Mathematically, it is expressed as:

This integral is a classic example of how trigonometric identities can simplify complex integrals. The key to solving this integral lies in recognizing the trigonometric identity for the product of sine and cosine:

Using this identity, the integral can be rewritten as:

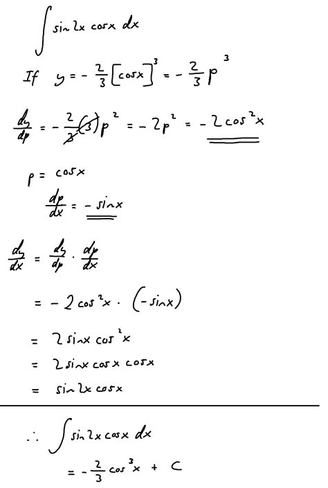
Solving the Sinx Cosx Integral

To solve the integral, we can use the substitution method. Let's set , which implies or . Substituting these into the integral, we get:

Now, we can integrate with respect to :

Finally, we substitute back to get the solution in terms of :

Therefore, the solution to the Sinx Cosx Integral is:

💡 Note: The constant of integration is essential in indefinite integrals to account for all possible antiderivatives.

Applications of the Sinx Cosx Integral

The Sinx Cosx Integral has numerous applications in various fields. Here are a few key areas where this integral is commonly used:

  • Physics: In physics, the Sinx Cosx Integral is used to solve problems involving wave motion, harmonic oscillators, and electromagnetic waves. For example, the integral can help determine the displacement of a particle in simple harmonic motion.
  • Engineering: Engineers use this integral to analyze signals and systems. In signal processing, the Sinx Cosx Integral is used to calculate the Fourier transform of periodic signals, which is crucial for understanding the frequency components of a signal.
  • Mathematics: In mathematics, the integral is a fundamental tool in the study of trigonometric functions and their properties. It is also used in the derivation of other trigonometric identities and in solving differential equations.

Advanced Techniques for Solving Trigonometric Integrals

While the Sinx Cosx Integral is a relatively straightforward example, solving more complex trigonometric integrals often requires advanced techniques. Here are a few methods that can be used to solve more challenging integrals:

  • Trigonometric Substitutions: For integrals involving , , or , trigonometric substitutions can simplify the integral. For example, setting can transform the integral into a more manageable form.
  • Integration by Parts: This method is useful for integrals of the form . By choosing appropriate and , the integral can be simplified and solved.
  • Partial Fractions: For rational functions, partial fractions can decompose the function into simpler fractions, making the integral easier to solve. This method is particularly useful for integrals involving polynomials in the denominator.

Common Mistakes to Avoid

When solving trigonometric integrals, it's important to avoid common mistakes that can lead to incorrect solutions. Here are a few pitfalls to watch out for:

  • Incorrect Trigonometric Identities: Using the wrong trigonometric identity can lead to incorrect results. Always double-check the identities you use to ensure they are applicable to the problem at hand.
  • Forgetting the Constant of Integration: Remember to include the constant of integration in your solution. This is crucial for indefinite integrals.
  • Incorrect Substitution: When using substitution methods, ensure that the substitution is correctly applied and that all terms are properly transformed. Incorrect substitutions can lead to complex and incorrect integrals.

💡 Note: Always verify your solution by differentiating the result to ensure it matches the original integrand.

Practice Problems

To master the Sinx Cosx Integral and other trigonometric integrals, it's essential to practice with various problems. Here are a few examples to help you get started:

Problem Solution

These problems cover a range of difficulties and techniques, providing a comprehensive practice set for mastering trigonometric integrals.

Solving the Sinx Cosx Integral is a fundamental skill in calculus that opens the door to more advanced topics and applications. By understanding the trigonometric identities and substitution methods, you can tackle a wide range of integrals and apply them to real-world problems. Whether you’re a student studying calculus or a professional in a scientific field, mastering the Sinx Cosx Integral is an essential step in your journey.

Related Terms:

  • sin cos integration wheel
  • integration of sinx cos x
  • integral of cos times sin
  • sin cos integration formula
  • integral of costsint
  • integration of sin and cos