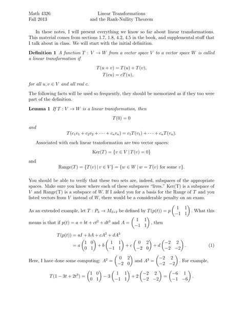
Rank Nullity Theorem

Rank Nullity Theorem

Linear algebra is a fundamental branch of mathematics that deals with vector spaces and linear transformations. One of the most important concepts in linear algebra is the Rank Nullity Theorem, which provides a crucial relationship between the rank and nullity of a linear transformation. This theorem is essential for understanding the structure of vector spaces and the behavior of linear maps. In this post, we will delve into the Rank Nullity Theorem, its applications, and its significance in various fields of mathematics and beyond.

Understanding the Rank Nullity Theorem

The Rank Nullity Theorem states that for any linear transformation T: V o W between finite-dimensional vector spaces V and W , the following equation holds:

dim(V) = rank(T) + nullity(T)

Here, dim(V) represents the dimension of the vector space V , rank(T) is the dimension of the image (or range) of the transformation T , and nullity(T) is the dimension of the kernel (or null space) of the transformation T .

Key Concepts

To fully grasp the Rank Nullity Theorem, it is essential to understand the following key concepts:

  • Vector Space: A set equipped with operations of addition and scalar multiplication that satisfy certain axioms.
  • Linear Transformation: A function between two vector spaces that preserves vector addition and scalar multiplication.
  • Rank: The dimension of the image of a linear transformation.
  • Nullity: The dimension of the kernel of a linear transformation.

Proof of the Rank Nullity Theorem

The proof of the Rank Nullity Theorem involves understanding the relationship between the basis vectors of the domain and the image of the linear transformation. Here is a step-by-step outline of the proof:

  1. Let V be a finite-dimensional vector space with dimension n .
  2. Let T: V o W be a linear transformation.
  3. Choose a basis for V , say {v_1, v_2, ldots, v_n} .
  4. The image of T , denoted as ext{Im}(T) , is a subspace of W .
  5. The kernel of T , denoted as ext{Ker}(T) , is a subspace of V .
  6. The dimension of ext{Im}(T) is the rank of T , and the dimension of ext{Ker}(T) is the nullity of T .
  7. By the definition of a basis, any vector in V can be written as a linear combination of the basis vectors.
  8. The image of T is spanned by the images of the basis vectors of V .
  9. The kernel of T consists of all vectors in V that are mapped to the zero vector in W .
  10. The dimension of V is the sum of the dimensions of the image and the kernel of T .

Therefore, we have:

dim(V) = rank(T) + nullity(T)

💡 Note: This proof relies on the fact that the dimension of a vector space is well-defined and that any linear transformation preserves the structure of the vector space.

Applications of the Rank Nullity Theorem

The Rank Nullity Theorem has numerous applications in various fields of mathematics and beyond. Some of the key applications include:

  • Matrix Theory: The theorem is used to determine the rank and nullity of matrices, which are essential for solving systems of linear equations.
  • Linear Programming: In optimization problems, the theorem helps in understanding the feasibility and optimality of solutions.
  • Data Analysis: In statistics and machine learning, the theorem is used to analyze the dimensionality of data sets and to perform dimensionality reduction techniques.
  • Control Theory: In engineering, the theorem is applied to analyze the controllability and observability of dynamical systems.

Examples and Illustrations

To better understand the Rank Nullity Theorem, let's consider a few examples:

Example 1: Simple Linear Transformation

Consider the linear transformation T: mathbb{R}^3 o mathbb{R}^2 defined by:

T(x, y, z) = (x + y, y + z)

To find the rank and nullity of T , we first determine the image and kernel of T .

The image of T is spanned by the vectors (1, 1) and (0, 1) , so the rank of T is 2.

The kernel of T consists of all vectors (x, y, z) such that x + y = 0 and y + z = 0 . Solving these equations, we find that the kernel is spanned by the vector (1, -1, 1) , so the nullity of T is 1.

Therefore, we have:

dim(mathbb{R}^3) = rank(T) + nullity(T) = 3 = 2 + 1

Example 2: Matrix Representation

Consider the matrix A = egin{pmatrix} 1 & 2 & 3 \ 4 & 5 & 6 \ 7 & 8 & 9 end{pmatrix} .

The rank of A is the dimension of the column space, which is spanned by the columns of A . By performing row reduction, we find that the rank of A is 2.

The nullity of A is the dimension of the null space, which consists of all vectors mathbf{x} such that Amathbf{x} = mathbf{0} . Solving this system, we find that the nullity of A is 1.

Therefore, we have:

dim(mathbb{R}^3) = rank(A) + nullity(A) = 3 = 2 + 1

Advanced Topics

Beyond the basic applications, the Rank Nullity Theorem can be extended to more advanced topics in linear algebra and related fields. Some of these topics include:

  • Generalized Inverses: The theorem is used to study generalized inverses of matrices, which are useful in solving inconsistent systems of linear equations.
  • Singular Value Decomposition (SVD): The theorem plays a crucial role in the SVD, which is a powerful tool for analyzing the structure of matrices and their applications in data analysis.
  • Spectral Theory: In the study of eigenvalues and eigenvectors, the theorem helps in understanding the spectral properties of linear transformations.

Conclusion

The Rank Nullity Theorem is a cornerstone of linear algebra, providing a fundamental relationship between the rank and nullity of a linear transformation. This theorem has wide-ranging applications in various fields, from matrix theory and linear programming to data analysis and control theory. By understanding the Rank Nullity Theorem, we gain deeper insights into the structure of vector spaces and the behavior of linear maps, enabling us to solve complex problems and develop advanced mathematical techniques. The theorem’s elegance and utility make it an essential tool for anyone studying linear algebra or its applications.

Related Terms:

  • rank nullity theorem examples
  • rank nullity theorem pdf
  • rank nullity theorem statement
  • state the rank nullity theorem
  • nullity of a matrix calculator