R22 Pressure Temperature Chart

R22 Pressure Temperature Chart

Understanding the R22 Pressure Temperature Chart is crucial for anyone working with refrigeration and air conditioning systems. R22, also known as Freon, is a hydrochlorofluorocarbon (HCFC) refrigerant that has been widely used in various cooling applications. However, due to its ozone-depleting properties, it is being phased out in favor of more environmentally friendly alternatives. Despite this, many older systems still rely on R22, making it essential to comprehend its pressure-temperature relationship.

What is R22?

R22 is a colorless gas that was commonly used in refrigeration and air conditioning systems. It is known for its efficient heat transfer properties, which made it a popular choice for many years. However, its environmental impact has led to its gradual replacement with more eco-friendly refrigerants like R410A.

Understanding Pressure-Temperature Relationship

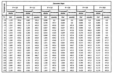
The R22 Pressure Temperature Chart illustrates the relationship between the pressure and temperature of R22 refrigerant at different states. This relationship is vital for diagnosing and maintaining refrigeration systems. The chart typically shows the saturation pressure and temperature for both liquid and vapor phases of R22.

Reading the R22 Pressure Temperature Chart

To effectively use the R22 Pressure Temperature Chart, it’s important to understand how to read it. The chart usually has two axes: one for pressure and one for temperature. The pressure is typically measured in pounds per square inch (psi) or kilopascals (kPa), while the temperature is measured in degrees Fahrenheit (°F) or Celsius (°C).

The chart will have curves or lines that represent the saturation points where the liquid and vapor phases of R22 coexist. These points are crucial for determining the state of the refrigerant in the system. For example, if the system's pressure and temperature fall on the saturation curve, it indicates that the refrigerant is at its boiling point.

Importance of the R22 Pressure Temperature Chart

The R22 Pressure Temperature Chart is a valuable tool for several reasons:

  • Diagnosing System Issues: By comparing the system’s pressure and temperature readings to the chart, technicians can identify potential problems such as low refrigerant charge, leaks, or compressor issues.
  • Maintaining Optimal Performance: Understanding the pressure-temperature relationship helps in adjusting the system to ensure it operates efficiently. This can lead to energy savings and extended equipment life.
  • Safety: Properly managing the refrigerant pressure and temperature is crucial for safety. High pressures can lead to dangerous situations, while low pressures can indicate leaks that need immediate attention.

Common Applications of R22

R22 has been used in a variety of applications, including:

  • Residential Air Conditioning: Many older residential air conditioning units use R22 as the refrigerant.
  • Commercial Refrigeration: R22 is found in commercial refrigeration systems, such as those used in supermarkets and restaurants.
  • Industrial Cooling: Some industrial processes rely on R22 for cooling purposes.

Transitioning to Alternative Refrigerants

Due to the environmental concerns associated with R22, many countries have implemented regulations to phase out its use. Alternative refrigerants like R410A, R407C, and R134a are being adopted as replacements. These refrigerants are more environmentally friendly and have different pressure-temperature characteristics.

When transitioning to alternative refrigerants, it's important to consult the specific pressure-temperature charts for the new refrigerant. The R22 Pressure Temperature Chart will no longer be applicable, and technicians will need to familiarize themselves with the new charts to ensure proper system operation.

Maintaining R22 Systems

For systems that still use R22, regular maintenance is essential to ensure they operate efficiently and safely. Here are some key maintenance tasks:

  • Check Refrigerant Levels: Regularly monitor the refrigerant levels and top up if necessary. Low refrigerant levels can indicate leaks that need to be addressed.
  • Inspect for Leaks: Use leak detection methods to identify and repair any leaks in the system. Leaks can lead to reduced efficiency and environmental impact.
  • Clean and Replace Filters: Regularly clean or replace air filters to ensure proper airflow and system performance.
  • Check Pressure and Temperature: Use the R22 Pressure Temperature Chart to verify that the system’s pressure and temperature readings are within the expected range.

🔍 Note: Always follow safety protocols when handling refrigerants, including wearing appropriate personal protective equipment (PPE) and ensuring proper ventilation.

Troubleshooting Common Issues

When troubleshooting R22 systems, the R22 Pressure Temperature Chart can be a valuable tool. Here are some common issues and how the chart can help:

  • Low Pressure: If the system pressure is lower than expected, it may indicate a low refrigerant charge or a leak. Check the chart to see if the temperature corresponds to the low pressure reading.
  • High Pressure: High pressure readings can indicate overheating or a blockage in the system. Compare the pressure and temperature readings to the chart to diagnose the issue.
  • Inconsistent Performance: If the system is not cooling effectively, use the chart to ensure that the pressure and temperature readings are within the expected range. This can help identify if the issue is related to the refrigerant or other components.

Future of Refrigerants

The future of refrigerants is moving towards more environmentally friendly options. Refrigerants like R410A and R32 are gaining popularity due to their lower global warming potential (GWP) and ozone depletion potential (ODP). These refrigerants have different pressure-temperature characteristics, and technicians will need to adapt to these changes.

As the phase-out of R22 continues, it's important for technicians to stay updated with the latest regulations and best practices for handling and maintaining refrigeration systems. This includes understanding the pressure-temperature relationships of new refrigerants and using the appropriate charts for diagnosis and maintenance.

In conclusion, the R22 Pressure Temperature Chart is an essential tool for anyone working with refrigeration and air conditioning systems that use R22. Understanding how to read and use the chart can help diagnose issues, maintain optimal performance, and ensure safety. As the industry transitions to more environmentally friendly refrigerants, it’s crucial to stay informed and adapt to the changes. Regular maintenance and proper handling of refrigerants are key to extending the life of existing systems and ensuring the efficient operation of new ones.

Related Terms:

  • pressure temperature chart r 22
  • r22 temperature chart pdf
  • r 22 pressure temp chart
  • r22 freon pressure chart
  • r 22 pressure charging chart
  • r22 freon temperature chart