Power Series Representation

Power Series Representation

In the realm of mathematics, particularly in the field of calculus and analysis, the concept of a Power Series Representation is fundamental. A power series is an infinite series of the form:

a0 + a1x + a2x2 + a3x3 + ...

where a0, a1, a2, ... are constants and x is a variable. This series can be used to represent a wide variety of functions, making it a powerful tool in mathematical analysis.

Understanding Power Series

A power series is essentially a polynomial with an infinite number of terms. The coefficients an can be real or complex numbers, and the variable x can also be complex. The behavior of a power series depends critically on the values of the coefficients and the variable x.

The Power Series Representation of a function is particularly useful because it allows us to approximate the function with a finite number of terms, which can be very accurate over a certain range of x. This approximation is often used in numerical analysis and computational mathematics.

Convergence of Power Series

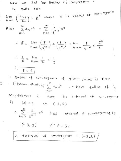
One of the most important aspects of a power series is its convergence. A power series converges to a function f(x) if the series sums to f(x) for a given value of x. The set of all x values for which the series converges is called the interval of convergence.

To determine the interval of convergence, we often use the Ratio Test or the Root Test. These tests help us find the radius of convergence, which is the distance from the center of the series (usually x = 0) to the nearest point where the series diverges.

Examples of Power Series

Let’s look at a few examples of functions and their Power Series Representation.

Exponential Function

The exponential function ex has a simple and well-known power series representation:

ex = 1 + x + x2/2! + x3/3! + …

This series converges for all x in the interval (-∞, ∞).

Sine Function

The sine function sin(x) can be represented as:

sin(x) = x - x3/3! + x5/5! - x7/7! + …

This series also converges for all x in the interval (-∞, ∞).

Cosine Function

The cosine function cos(x) has the following power series representation:

cos(x) = 1 - x2/2! + x4/4! - x6/6! + …

Like the sine and exponential functions, this series converges for all x in the interval (-∞, ∞).

Applications of Power Series

The Power Series Representation of functions has numerous applications in various fields of mathematics and science. Some of the key applications include:

  • Numerical Analysis: Power series are used to approximate functions, which is crucial in numerical methods for solving differential equations and other mathematical problems.
  • Differential Equations: Power series solutions are often used to solve differential equations, especially when analytical solutions are not readily available.
  • Signal Processing: In signal processing, power series are used to represent and analyze signals, which is essential for tasks like filtering and compression.
  • Physics: Power series are used to approximate solutions to physical problems, such as the behavior of waves, the motion of particles, and the dynamics of fluids.

Taylor and Maclaurin Series

Two of the most important types of power series are the Taylor series and the Maclaurin series. These series are used to represent functions as power series around a specific point.

Taylor Series

A Taylor series is a representation of a function as an infinite sum of terms that are calculated from the values of the function’s derivatives at a single point. The Taylor series of a function f(x) around a point a is given by:

f(x) = f(a) + f’(a)(x - a) + f”(a)(x - a)2/2! + f”‘(a)(x - a)3/3! + …

This series converges to the function f(x) within a certain interval around the point a.

Maclaurin Series

A Maclaurin series is a special case of the Taylor series where the point a is 0. The Maclaurin series of a function f(x) is given by:

f(x) = f(0) + f’(0)x + f”(0)x2/2! + f”‘(0)x3/3! + …

This series converges to the function f(x) within a certain interval around the point 0.

Important Considerations

When working with power series, there are several important considerations to keep in mind:

  • Radius of Convergence: Determine the radius of convergence to understand the interval within which the series converges.
  • Error Analysis: Analyze the error introduced by truncating the series to a finite number of terms.
  • Behavior at Endpoints: Check the behavior of the series at the endpoints of the interval of convergence.

📝 Note: The behavior of a power series at the endpoints of the interval of convergence can sometimes be different from its behavior within the interval. It is important to check the convergence at these points separately.

Special Functions and Power Series

Many special functions in mathematics have power series representations. These functions are often used in advanced mathematical analysis and have applications in various fields of science and engineering.

Bessel Functions

Bessel functions are solutions to Bessel’s differential equation and have important applications in physics and engineering. The Bessel function of the first kind, Jn(x), has the following power series representation:

Jn(x) = xn/2nΓ(n + 1) [1 - x2/2(2n + 2) + x4/2(2n + 2)(2n + 4) - …]

where Γ(n) is the gamma function.

Legendre Polynomials

Legendre polynomials are solutions to Legendre’s differential equation and are used in various areas of physics and mathematics. The Legendre polynomial Pn(x) has the following power series representation:

Pn(x) = 1/2nn! dn/dxn(x2 - 1)n

This series converges for all x in the interval [-1, 1].

Conclusion

The Power Series Representation is a cornerstone of mathematical analysis, providing a powerful tool for approximating functions and solving complex problems. From the exponential and trigonometric functions to special functions like Bessel functions and Legendre polynomials, power series offer a versatile and precise method for representing a wide range of mathematical functions. Understanding the convergence and behavior of power series is crucial for their effective use in various applications, from numerical analysis to differential equations and beyond. By mastering the concepts and techniques associated with power series, mathematicians and scientists can unlock new insights and solutions to some of the most challenging problems in their fields.

Related Terms:

  • interval of convergence
  • power series representation of ln
  • power series representation practice problems
  • power series form
  • power series representation formula
  • power series representation example