Physics Three Body Problem

Physics Three Body Problem

The Physics Three Body Problem is a classic and challenging issue in celestial mechanics and physics. It involves predicting the motion of three celestial bodies that interact with each other gravitationally. This problem has fascinated scientists for centuries due to its complexity and the insights it provides into the behavior of dynamical systems. The Three Body Problem is not only a theoretical curiosity but also has practical applications in fields such as astrophysics, space mission planning, and even in understanding the stability of planetary systems.

The Historical Context of the Three Body Problem

The Three Body Problem has a rich history that dates back to the 17th century. Isaac Newton, the renowned physicist and mathematician, was one of the first to recognize the complexity of this problem. In his seminal work, "Philosophiæ Naturalis Principia Mathematica," Newton laid the groundwork for understanding gravitational interactions but acknowledged that the Three Body Problem was beyond the analytical methods of his time. Over the centuries, many prominent mathematicians and physicists, including Euler, Lagrange, and Poincaré, have contributed to the study of this problem.

Mathematical Formulation

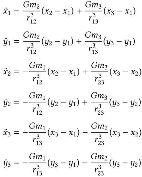
The Three Body Problem can be mathematically formulated using Newton's laws of motion and the law of universal gravitation. Consider three bodies with masses m_1 , m_2 , and m_3 located at positions mathbf{r}_1 , mathbf{r}_2 , and mathbf{r}_3 respectively. The equations of motion for these bodies can be written as:

[ frac{d^2 mathbf{r}_1}{dt^2} = G m_2 frac{mathbf{r}_2 - mathbf{r}_1}{|mathbf{r}_2 - mathbf{r}_1|^3} + G m_3 frac{mathbf{r}_3 - mathbf{r}_1}{|mathbf{r}_3 - mathbf{r}_1|^3} ]
[ frac{d^2 mathbf{r}_2}{dt^2} = G m_1 frac{mathbf{r}_1 - mathbf{r}_2}{|mathbf{r}_1 - mathbf{r}_2|^3} + G m_3 frac{mathbf{r}_3 - mathbf{r}_2}{|mathbf{r}_3 - mathbf{r}_2|^3} ]
[ frac{d^2 mathbf{r}_3}{dt^2} = G m_1 frac{mathbf{r}_1 - mathbf{r}_3}{|mathbf{r}_1 - mathbf{r}_3|^3} + G m_2 frac{mathbf{r}_2 - mathbf{r}_3}{|mathbf{r}_2 - mathbf{r}_3|^3} ]

where G is the gravitational constant. These equations are a system of nonlinear differential equations that are notoriously difficult to solve analytically. The complexity arises from the fact that the forces acting on each body depend on the positions of all three bodies, leading to a highly coupled system.

Special Cases and Solutions

Despite the general difficulty of the Three Body Problem, there are a few special cases where analytical solutions can be found. These special cases provide valuable insights into the behavior of the system.

The Eulerian Solutions

Leonhard Euler discovered a family of solutions where the three bodies are collinear, meaning they lie on a straight line. In these solutions, the bodies can either form a stable configuration or a periodic orbit. The Eulerian solutions are significant because they represent the simplest non-trivial configurations of the Three Body Problem.

The Lagrange Points

Joseph-Louis Lagrange identified five special points in the Three Body Problem where a small body can remain in equilibrium relative to the other two bodies. These points are known as Lagrange points or L-points. The first three Lagrange points (L1, L2, and L3) are collinear with the two primary bodies, while the remaining two (L4 and L5) form equilateral triangles with the primary bodies. The Lagrange points have practical applications in space mission planning, as they provide stable locations for satellites and space probes.

📌 Note: The Lagrange points are not always stable. The stability of L4 and L5 depends on the mass ratio of the primary bodies, while L1, L2, and L3 are generally unstable.

Numerical Methods and Chaos

For most configurations of the Three Body Problem, analytical solutions are not feasible, and numerical methods are employed to study the system's behavior. Numerical simulations allow researchers to explore the dynamics of the Three Body Problem over time and uncover patterns and phenomena that would be impossible to detect analytically.

One of the most striking features of the Three Body Problem is its chaotic nature. Small changes in the initial conditions can lead to vastly different outcomes, making long-term predictions extremely difficult. This sensitivity to initial conditions is a hallmark of chaotic systems and has been extensively studied in the context of the Three Body Problem.

Applications in Astrophysics

The Three Body Problem has numerous applications in astrophysics, particularly in understanding the dynamics of planetary systems, star clusters, and galaxies. Some key applications include:

  • Planetary Systems: The stability of planetary systems can be analyzed using the Three Body Problem. Researchers study the interactions between planets and their host stars to determine the conditions under which stable orbits can exist.
  • Star Clusters: In star clusters, the gravitational interactions between stars can lead to complex dynamics. The Three Body Problem helps in understanding the evolution of star clusters and the formation of binary and multiple star systems.
  • Galaxies: The dynamics of galaxies, including the motion of stars and the formation of galactic structures, can be studied using the principles of the Three Body Problem. This helps in understanding the large-scale behavior of the universe.

The Three Body Problem has also captured the imagination of writers and filmmakers, appearing in various works of science fiction. One notable example is the novel "The Three-Body Problem" by Liu Cixin, which explores the consequences of first contact with an alien civilization that has solved the Three Body Problem. The novel won the Hugo Award for Best Novel in 2015 and has been adapted into a television series, further popularizing the concept.

The Three Body Problem has also been featured in other media, including video games and documentaries, highlighting its enduring fascination and relevance in both scientific and popular contexts.

In the realm of video games, the Three Body Problem has been used to create complex and engaging gameplay mechanics. For example, in the game "Kerbal Space Program," players must navigate the challenges of orbital mechanics, including the Three Body Problem, to successfully launch and manage space missions. This not only provides entertainment but also educates players about the principles of physics and astronomy.

Documentaries and educational programs have also delved into the Three Body Problem, explaining its significance and the ongoing research in this field. These programs often feature interviews with scientists and mathematicians who work on the problem, providing insights into the latest developments and the challenges faced in solving it.

Future Directions

The study of the Three Body Problem continues to be an active area of research in physics and mathematics. Advances in computational power and numerical methods have enabled researchers to explore the problem in greater detail, uncovering new phenomena and refining our understanding of dynamical systems. Future research is likely to focus on:

  • Chaotic Dynamics: Further investigation into the chaotic nature of the Three Body Problem, including the development of new techniques for predicting and controlling chaotic behavior.
  • Numerical Simulations: Improving numerical methods and algorithms to simulate the Three Body Problem more accurately and efficiently, allowing for the study of more complex systems.
  • Applications in Astrophysics: Applying the principles of the Three Body Problem to new areas of astrophysics, such as the study of exoplanets and the dynamics of black hole systems.

As our understanding of the Three Body Problem deepens, it will continue to provide valuable insights into the behavior of dynamical systems and the fundamental laws of physics.

In conclusion, the Physics Three Body Problem is a fascinating and challenging area of study that has captivated scientists for centuries. From its historical roots to its modern applications in astrophysics and popular culture, the Three Body Problem continues to inspire and intrigue researchers and enthusiasts alike. Its complex dynamics and chaotic nature make it a rich field for exploration, offering endless opportunities for discovery and innovation. The ongoing research in this area promises to shed new light on the fundamental principles of physics and the behavior of dynamical systems, paving the way for future advancements in science and technology.

Related Terms:

  • 3 body problem explained
  • solving the three body problem
  • solution to 3 body problem
  • example of three body problem
  • 3 body problem answer
  • three body problem diagram