Person In Environment Perspective

Person In Environment Perspective

Understanding the dynamics of human behavior within various environments is a complex yet fascinating field of study. The Person In Environment Perspective (PIE) offers a comprehensive framework for analyzing how individuals interact with their surroundings. This perspective is crucial in fields such as psychology, sociology, and environmental design, as it helps professionals understand the multifaceted relationship between people and their environments.

Understanding the Person In Environment Perspective

The Person In Environment Perspective is a holistic approach that considers the interplay between an individual's characteristics and the environmental factors that influence their behavior and well-being. This perspective is rooted in the belief that human behavior is not solely determined by internal factors but is significantly shaped by external influences. By examining both the person and the environment, professionals can gain a deeper understanding of how to create supportive and enriching settings for individuals.

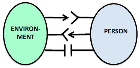
The Components of the Person In Environment Perspective

The Person In Environment Perspective can be broken down into several key components:

  • Person: This includes the individual's biological, psychological, and social characteristics. Factors such as age, gender, personality traits, and cultural background are all part of the person component.
  • Environment: This encompasses the physical, social, and cultural aspects of the surroundings. The environment can include the home, workplace, community, and natural settings.
  • Interaction: This refers to the dynamic relationship between the person and the environment. It involves how the individual perceives and responds to the environment, and how the environment, in turn, influences the individual.

Applications of the Person In Environment Perspective

The Person In Environment Perspective has wide-ranging applications across various disciplines. Here are some key areas where this perspective is particularly valuable:

Psychology

In psychology, the Person In Environment Perspective is used to understand how environmental factors can influence mental health and behavior. For example, a psychologist might consider how a person's living conditions, social support, and access to resources affect their mental well-being. This perspective is particularly useful in clinical settings, where therapists work with clients to address both internal and external factors contributing to their issues.

Sociology

Sociologists use the Person In Environment Perspective to study how social structures and cultural norms shape individual behavior. By examining the interaction between people and their social environments, sociologists can identify patterns and trends that influence societal dynamics. This perspective is essential for understanding issues such as social inequality, community cohesion, and cultural diversity.

Environmental Design

In environmental design, the Person In Environment Perspective is crucial for creating spaces that support human well-being and functionality. Architects and urban planners use this perspective to design buildings, neighborhoods, and public spaces that are both aesthetically pleasing and functional. By considering how people will interact with these spaces, designers can create environments that enhance quality of life and promote social interaction.

Education

In education, the Person In Environment Perspective helps educators understand how the learning environment can impact student performance and behavior. By considering factors such as classroom layout, teaching methods, and social dynamics, educators can create more effective and supportive learning environments. This perspective is particularly valuable in special education, where individualized approaches are essential for meeting the diverse needs of students.

Case Studies and Examples

To illustrate the practical applications of the Person In Environment Perspective, let's explore a few case studies and examples:

Case Study: Urban Planning

In a bustling city, urban planners are tasked with redesigning a public park to make it more inviting and functional for residents. Using the Person In Environment Perspective, they consider the diverse needs and preferences of the community. They conduct surveys and focus groups to gather input on what features would be most beneficial, such as playgrounds for children, walking paths for seniors, and green spaces for relaxation. By incorporating these elements, the redesigned park becomes a vibrant community hub that caters to the needs of all residents.

Example: Workplace Design

In a corporate setting, a company aims to improve employee productivity and satisfaction by redesigning their office space. Using the Person In Environment Perspective, they assess the current layout and identify areas for improvement. They introduce flexible workstations, collaborative spaces, and natural lighting to create a more comfortable and inspiring work environment. The changes result in increased employee morale, better collaboration, and higher productivity.

Challenges and Considerations

While the Person In Environment Perspective offers valuable insights, it also presents several challenges and considerations:

  • Complexity: The interaction between the person and the environment is complex and multifaceted. It can be challenging to isolate and measure the specific factors that influence behavior and well-being.
  • Individual Differences: People vary widely in their responses to environmental factors. What works for one individual may not be effective for another, making it difficult to apply a one-size-fits-all approach.
  • Dynamic Nature: Both the person and the environment are dynamic and subject to change over time. This means that interventions and strategies must be adaptable and responsive to evolving circumstances.

📝 Note: It is essential to conduct thorough assessments and gather comprehensive data to tailor interventions effectively.

Future Directions

The Person In Environment Perspective continues to evolve, driven by advancements in technology and research. Future directions in this field include:

  • Technology Integration: The use of technology, such as wearable devices and smart sensors, can provide real-time data on how individuals interact with their environments. This information can be used to develop more personalized and effective interventions.
  • Interdisciplinary Collaboration: Collaboration between different disciplines, such as psychology, sociology, and environmental design, can lead to more holistic and comprehensive approaches to understanding and addressing human-environment interactions.
  • Community Engagement: Engaging communities in the design and implementation of environmental interventions can ensure that solutions are tailored to their specific needs and preferences. This participatory approach can enhance the effectiveness and sustainability of interventions.

By embracing these future directions, professionals can continue to refine and expand the Person In Environment Perspective, leading to more effective and impactful strategies for enhancing human well-being and quality of life.

In conclusion, the Person In Environment Perspective provides a valuable framework for understanding the complex interplay between individuals and their environments. By considering both the person and the environment, professionals can develop more comprehensive and effective strategies for addressing a wide range of issues. Whether in psychology, sociology, environmental design, or education, this perspective offers insights that can enhance our understanding of human behavior and well-being. As we continue to explore and refine this approach, we can create more supportive and enriching environments for all individuals.

Related Terms:

  • person in environment perspective definition
  • person environment perspective pdf
  • person in environment perspective example
  • person in environment example
  • person in environment theory
  • person in environment theory examples