Partial Fractions Integral

Partial Fractions Integral

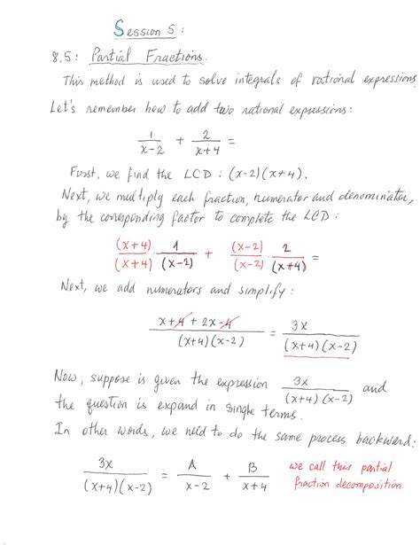
Integrals are a fundamental concept in calculus, and one of the techniques used to evaluate them is the method of Partial Fractions Integral. This method is particularly useful when dealing with rational functions, where the integrand is a ratio of two polynomials. By decomposing the rational function into simpler fractions, we can integrate each part separately and then combine the results. This approach simplifies complex integrals and makes them more manageable.

Understanding Partial Fractions

Before diving into the Partial Fractions Integral method, it’s essential to understand what partial fractions are. Partial fractions involve breaking down a rational function into a sum of simpler fractions. This decomposition is based on the factors of the denominator. For example, consider the rational function:

f(x) = P(x) / Q(x)

where P(x) and Q(x) are polynomials. If Q(x) can be factored into linear and/or quadratic factors, we can express f(x) as a sum of simpler fractions. The general form of the decomposition depends on the nature of the factors in Q(x).

Types of Partial Fractions

There are several types of partial fractions, each corresponding to different forms of the denominator’s factors:

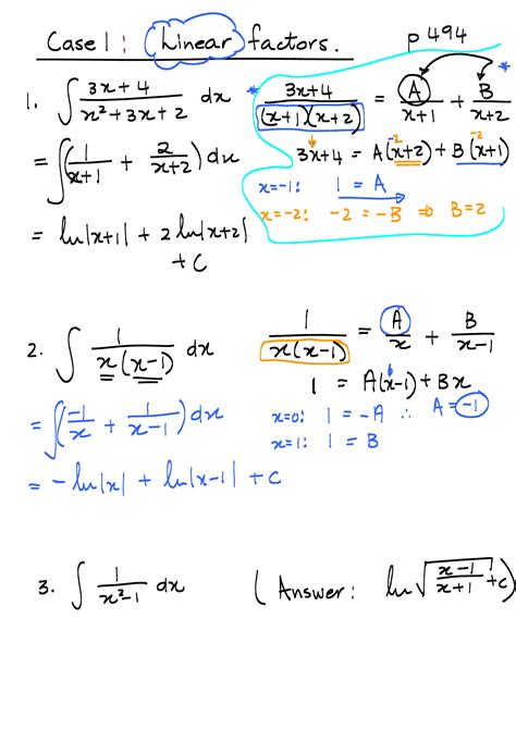
  • Linear Factors: If Q(x) has a linear factor (ax + b), the corresponding partial fraction is of the form A / (ax + b).
  • Repeated Linear Factors: If Q(x) has a repeated linear factor (ax + b)^n, the partial fractions are A1 / (ax + b) + A2 / (ax + b)^2 + … + An / (ax + b)^n.
  • Quadratic Factors: If Q(x) has a quadratic factor (ax^2 + bx + c) that cannot be factored further, the corresponding partial fraction is of the form (Ax + B) / (ax^2 + bx + c).
  • Repeated Quadratic Factors: If Q(x) has a repeated quadratic factor (ax^2 + bx + c)^n, the partial fractions are (A1x + B1) / (ax^2 + bx + c) + (A2x + B2) / (ax^2 + bx + c)^2 + … + (Anx + Bn) / (ax^2 + bx + c)^n.

Steps to Decompose into Partial Fractions

To decompose a rational function into partial fractions, follow these steps:

  1. Factor the Denominator: Factor the denominator Q(x) into its linear and quadratic factors.
  2. Set Up the Partial Fractions: Write the partial fractions corresponding to each factor. Use the appropriate form based on whether the factors are linear, repeated linear, quadratic, or repeated quadratic.
  3. Combine the Fractions: Combine the partial fractions over a common denominator.
  4. Solve for the Coefficients: Multiply both sides of the equation by the common denominator to clear the fractions. Then, solve for the coefficients by equating the numerators.

💡 Note: The coefficients can be solved using methods such as substitution, comparison of coefficients, or by setting up a system of linear equations.

Example of Partial Fractions Decomposition

Let’s go through an example to illustrate the process of decomposing a rational function into partial fractions. Consider the integral:

∫(3x + 5) / (x^2 - 1) dx

First, factor the denominator:

x^2 - 1 = (x - 1)(x + 1)

Set up the partial fractions:

(3x + 5) / (x^2 - 1) = A / (x - 1) + B / (x + 1)

Combine the fractions over the common denominator:

A(x + 1) + B(x - 1) / (x^2 - 1)

Solve for the coefficients by equating the numerators:

3x + 5 = A(x + 1) + B(x - 1)

Expand and collect like terms:

3x + 5 = Ax + A + Bx - B

3x + 5 = (A + B)x + (A - B)

Equate the coefficients of like terms:

A + B = 3

A - B = 5

Solve the system of equations:

A = 4, B = -1

Thus, the partial fractions are:

(3x + 5) / (x^2 - 1) = 4 / (x - 1) - 1 / (x + 1)

Integrating Partial Fractions

Once the rational function is decomposed into partial fractions, integrating each term separately becomes straightforward. Let’s continue with the example from the previous section:

∫(3x + 5) / (x^2 - 1) dx = ∫(4 / (x - 1) - 1 / (x + 1)) dx

Integrate each term:

∫(4 / (x - 1)) dx - ∫(1 / (x + 1)) dx

4 ln|x - 1| - ln|x + 1| + C

Combine the results:

ln|(x - 1)^4 / (x + 1)| + C

Handling Improper Fractions

Before applying the Partial Fractions Integral method, ensure that the rational function is proper, meaning the degree of the numerator is less than the degree of the denominator. If the function is improper, perform polynomial long division to separate the polynomial part from the proper rational function. Integrate the polynomial part separately and then apply the partial fractions method to the proper rational function.

Special Cases and Considerations

There are a few special cases and considerations to keep in mind when using the Partial Fractions Integral method:

  • Improper Fractions: As mentioned earlier, handle improper fractions by performing polynomial long division first.
  • Repeated Factors: For repeated factors, include partial fractions for each power of the factor.
  • Quadratic Factors: For quadratic factors that cannot be factored further, use the form (Ax + B) / (ax^2 + bx + c).
  • Non-real Coefficients: If the factors involve complex numbers, the partial fractions will also involve complex coefficients.

💡 Note: When dealing with repeated quadratic factors, the process becomes more complex, and additional techniques may be required to solve for the coefficients.

Applications of Partial Fractions Integral

The Partial Fractions Integral method has numerous applications in mathematics, physics, and engineering. Some of the key areas where this method is used include:

  • Evaluating Integrals: The primary application is in evaluating integrals of rational functions, which are common in various fields.
  • Differential Equations: Partial fractions are used to solve differential equations by decomposing the rational functions involved.
  • Signal Processing: In signal processing, partial fractions are used to analyze and design filters and systems.
  • Control Systems: In control theory, partial fractions help in analyzing the stability and response of control systems.

Practice Problems

To master the Partial Fractions Integral method, practice is essential. Here are a few problems to help you improve your skills:

  1. ∫(2x + 3) / (x^2 + x - 2) dx
  2. ∫(x^2 + 1) / (x^3 - x^2) dx
  3. ∫(3x + 2) / (x^2 + 2x + 1) dx
  4. ∫(4x + 5) / (x^3 - 3x^2 + 2x) dx

For each problem, follow the steps outlined earlier to decompose the rational function into partial fractions and then integrate each term separately.

To further enhance your understanding, consider working through additional problems and exploring more complex examples. The more you practice, the more comfortable you will become with the Partial Fractions Integral method.

In conclusion, the Partial Fractions Integral method is a powerful technique for evaluating integrals of rational functions. By decomposing the rational function into simpler fractions, we can integrate each part separately and then combine the results. This approach simplifies complex integrals and makes them more manageable. Understanding the types of partial fractions, the steps to decompose a rational function, and the special cases and considerations is crucial for mastering this method. With practice, you can become proficient in using the Partial Fractions Integral method to solve a wide range of problems in mathematics, physics, and engineering.

Related Terms:

  • partial integration example
  • solving integrals with partial fractions
  • integration by partial fraction formulas
  • partial fraction integration examples
  • integration by parts fractions
  • method of partial fractions integration