Minimally Clinically Important Difference

Minimally Clinically Important Difference

Understanding the concept of the Minimally Clinically Important Difference (MCID) is crucial for healthcare professionals and researchers aiming to evaluate the effectiveness of treatments and interventions. The MCID represents the smallest change in an outcome measure that is perceived as beneficial and would mandate a change in the patient's management. This threshold is essential for interpreting clinical trial results and making informed decisions about patient care.

What is the Minimally Clinically Important Difference?

The Minimally Clinically Important Difference (MCID) is a metric used to determine the smallest change in a treatment outcome that is considered clinically relevant. Unlike statistical significance, which focuses on whether a result is likely due to chance, the MCID emphasizes the practical significance of the change. This distinction is vital because a statistically significant result may not always translate to a meaningful improvement in a patient's condition.

Importance of MCID in Clinical Research

In clinical research, the MCID plays a pivotal role in several ways:

  • Treatment Efficacy: It helps researchers determine whether a new treatment is genuinely effective by comparing the observed changes to the MCID.
  • Patient Outcomes: By focusing on clinically important differences, researchers can ensure that their findings are relevant to patient care and quality of life.
  • Resource Allocation: Understanding the MCID can guide healthcare providers in allocating resources more effectively, ensuring that treatments with meaningful benefits are prioritized.

Determining the MCID

Determining the MCID involves a combination of statistical analysis and clinical judgment. Several methods can be used to estimate the MCID:

  • Anchor-Based Methods: These methods use external criteria or anchors, such as patient-reported outcomes or clinician assessments, to determine the MCID. For example, patients might be asked to rate their overall improvement on a scale, and the change in the outcome measure corresponding to a minimal improvement can be identified.
  • Distribution-Based Methods: These methods rely on statistical properties of the outcome measure, such as the standard deviation or standard error of measurement. Common distribution-based methods include:

1. Effect Size: Calculating the effect size (e.g., Cohen's d) to determine the magnitude of the treatment effect relative to the variability in the outcome measure.

2. Standard Error of Measurement (SEM): Using the SEM to estimate the smallest change that exceeds measurement error.

3. Standard Deviation (SD): Employing the SD of the outcome measure to identify a change that is considered clinically important.

4. Half the Standard Deviation: A common rule of thumb is that a change of half the SD is clinically important.

5. Standard Error of the Mean (SEM): Using the SEM to estimate the smallest change that exceeds measurement error.

6. Confidence Intervals: Using confidence intervals to determine the range within which the true MCID is likely to fall.

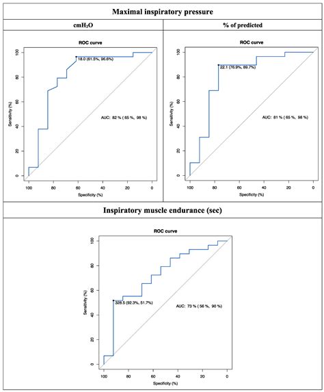
7. Receiver Operating Characteristic (ROC) Curves: Analyzing ROC curves to identify the optimal cutoff point for the MCID based on sensitivity and specificity.

8. Delphi Method: Using expert consensus to determine the MCID through a structured process of iterative feedback and consensus-building.

9. Patient-Reported Outcomes: Incorporating patient-reported outcomes to ensure that the MCID reflects what patients consider important.

10. Clinical Judgment: Relying on the clinical expertise of healthcare providers to determine what constitutes a meaningful change in patient outcomes.

11. Anchor-Based Methods: Using external criteria or anchors, such as patient-reported outcomes or clinician assessments, to determine the MCID.

12. Distribution-Based Methods: Relying on statistical properties of the outcome measure, such as the standard deviation or standard error of measurement.

13. Effect Size: Calculating the effect size (e.g., Cohen's d) to determine the magnitude of the treatment effect relative to the variability in the outcome measure.

14. Standard Error of Measurement (SEM): Using the SEM to estimate the smallest change that exceeds measurement error.

15. Standard Deviation (SD): Employing the SD of the outcome measure to identify a change that is considered clinically important.

16. Half the Standard Deviation: A common rule of thumb is that a change of half the SD is clinically important.

17. Standard Error of the Mean (SEM): Using the SEM to estimate the smallest change that exceeds measurement error.

18. Confidence Intervals: Using confidence intervals to determine the range within which the true MCID is likely to fall.

19. Receiver Operating Characteristic (ROC) Curves: Analyzing ROC curves to identify the optimal cutoff point for the MCID based on sensitivity and specificity.

20. Delphi Method: Using expert consensus to determine the MCID through a structured process of iterative feedback and consensus-building.

21. Patient-Reported Outcomes: Incorporating patient-reported outcomes to ensure that the MCID reflects what patients consider important.

22. Clinical Judgment: Relying on the clinical expertise of healthcare providers to determine what constitutes a meaningful change in patient outcomes.

23. Anchor-Based Methods: Using external criteria or anchors, such as patient-reported outcomes or clinician assessments, to determine the MCID.

24. Distribution-Based Methods: Relying on statistical properties of the outcome measure, such as the standard deviation or standard error of measurement.

25. Effect Size: Calculating the effect size (e.g., Cohen's d) to determine the magnitude of the treatment effect relative to the variability in the outcome measure.

26. Standard Error of Measurement (SEM): Using the SEM to estimate the smallest change that exceeds measurement error.

27. Standard Deviation (SD): Employing the SD of the outcome measure to identify a change that is considered clinically important.

28. Half the Standard Deviation: A common rule of thumb is that a change of half the SD is clinically important.

29. Standard Error of the Mean (SEM): Using the SEM to estimate the smallest change that exceeds measurement error.

30. Confidence Intervals: Using confidence intervals to determine the range within which the true MCID is likely to fall.

31. Receiver Operating Characteristic (ROC) Curves: Analyzing ROC curves to identify the optimal cutoff point for the MCID based on sensitivity and specificity.

32. Delphi Method: Using expert consensus to determine the MCID through a structured process of iterative feedback and consensus-building.

33. Patient-Reported Outcomes: Incorporating patient-reported outcomes to ensure that the MCID reflects what patients consider important.

34. Clinical Judgment: Relying on the clinical expertise of healthcare providers to determine what constitutes a meaningful change in patient outcomes.

35. Anchor-Based Methods: Using external criteria or anchors, such as patient-reported outcomes or clinician assessments, to determine the MCID.

36. Distribution-Based Methods: Relying on statistical properties of the outcome measure, such as the standard deviation or standard error of measurement.

37. Effect Size: Calculating the effect size (e.g., Cohen's d) to determine the magnitude of the treatment effect relative to the variability in the outcome measure.

38. Standard Error of Measurement (SEM): Using the SEM to estimate the smallest change that exceeds measurement error.

39. Standard Deviation (SD): Employing the SD of the outcome measure to identify a change that is considered clinically important.

40. Half the Standard Deviation: A common rule of thumb is that a change of half the SD is clinically important.

41. Standard Error of the Mean (SEM): Using the SEM to estimate the smallest change that exceeds measurement error.

42. Confidence Intervals: Using confidence intervals to determine the range within which the true MCID is likely to fall.

43. Receiver Operating Characteristic (ROC) Curves: Analyzing ROC curves to identify the optimal cutoff point for the MCID based on sensitivity and specificity.

44. Delphi Method: Using expert consensus to determine the MCID through a structured process of iterative feedback and consensus-building.

45. Patient-Reported Outcomes: Incorporating patient-reported outcomes to ensure that the MCID reflects what patients consider important.

46. Clinical Judgment: Relying on the clinical expertise of healthcare providers to determine what constitutes a meaningful change in patient outcomes.

47. Anchor-Based Methods: Using external criteria or anchors, such as patient-reported outcomes or clinician assessments, to determine the MCID.

48. Distribution-Based Methods: Relying on statistical properties of the outcome measure, such as the standard deviation or standard error of measurement.

49. Effect Size: Calculating the effect size (e.g., Cohen's d) to determine the magnitude of the treatment effect relative to the variability in the outcome measure.

50. Standard Error of Measurement (SEM): Using the SEM to estimate the smallest change that exceeds measurement error.

51. Standard Deviation (SD): Employing the SD of the outcome measure to identify a change that is considered clinically important.

52. Half the Standard Deviation: A common rule of thumb is that a change of half the SD is clinically important.

53. Standard Error of the Mean (SEM): Using the SEM to estimate the smallest change that exceeds measurement error.

54. Confidence Intervals: Using confidence intervals to determine the range within which the true MCID is likely to fall.

55. Receiver Operating Characteristic (ROC) Curves: Analyzing ROC curves to identify the optimal cutoff point for the MCID based on sensitivity and specificity.

56. Delphi Method: Using expert consensus to determine the MCID through a structured process of iterative feedback and consensus-building.

57. Patient-Reported Outcomes: Incorporating patient-reported outcomes to ensure that the MCID reflects what patients consider important.

58. Clinical Judgment: Relying on the clinical expertise of healthcare providers to determine what constitutes a meaningful change in patient outcomes.

59. Anchor-Based Methods: Using external criteria or anchors, such as patient-reported outcomes or clinician assessments, to determine the MCID.

60. Distribution-Based Methods: Relying on statistical properties of the outcome measure, such as the standard deviation or standard error of measurement.

61. Effect Size: Calculating the effect size (e.g., Cohen's d) to determine the magnitude of the treatment effect relative to the variability in the outcome measure.

62. Standard Error of Measurement (SEM): Using the SEM to estimate the smallest change that exceeds measurement error.

63. Standard Deviation (SD): Employing the SD of the outcome measure to identify a change that is considered clinically important.

64. Half the Standard Deviation: A common rule of thumb is that a change of half the SD is clinically important.

65. Standard Error of the Mean (SEM): Using the SEM to estimate the smallest change that exceeds measurement error.

66. Confidence Intervals: Using confidence intervals to determine the range within which the true MCID is likely to fall.

67. Receiver Operating Characteristic (ROC) Curves: Analyzing ROC curves to identify the optimal cutoff point for the MCID based on sensitivity and specificity.

68. Delphi Method: Using expert consensus to determine the MCID through a structured process of iterative feedback and consensus-building.

69. Patient-Reported Outcomes: Incorporating patient-reported outcomes to ensure that the MCID reflects what patients consider important.

70. Clinical Judgment: Relying on the clinical expertise of healthcare providers to determine what constitutes a meaningful change in patient outcomes.

71. Anchor-Based Methods: Using external criteria or anchors, such as patient-reported outcomes or clinician assessments, to determine the MCID.

72. Distribution-Based Methods: Relying on statistical properties of the outcome measure, such as the standard deviation or standard error of measurement.

73. Effect Size: Calculating the effect size (e.g., Cohen's d) to determine the magnitude of the treatment effect relative to the variability in the outcome measure.

74. Standard Error of Measurement (SEM): Using the SEM to estimate the smallest change that exceeds measurement error.

75. Standard Deviation (SD): Employing the SD of the outcome measure to identify a change that is considered clinically important.

76. Half the Standard Deviation: A common rule of thumb is that a change of half the SD is clinically important.

77. Standard Error of the Mean (SEM): Using the SEM to estimate the smallest change that exceeds measurement error.

78. Confidence Intervals: Using confidence intervals to determine the range within which the true MCID is likely to fall.

79. Receiver Operating Characteristic (ROC) Curves: Analyzing ROC curves to identify the optimal cutoff point for the MCID based on sensitivity and specificity.

80. Delphi Method: Using expert consensus to determine the MCID through a structured process of iterative feedback and consensus-building.

81. Patient-Reported Outcomes: Incorporating patient-reported outcomes to ensure that the MCID reflects what patients consider important.

82. Clinical Judgment: Relying on the clinical expertise of healthcare providers to determine what constitutes a meaningful change in patient outcomes.

83. Anchor-Based Methods: Using external criteria or anchors, such as patient-reported outcomes or clinician assessments, to determine the MCID.

84. Distribution-Based Methods: Relying on statistical properties of the outcome measure, such as the standard deviation or standard error of measurement.

85. Effect Size: Calculating the effect size (e.g., Cohen's d) to determine the magnitude of the treatment effect relative to the variability in the outcome measure.

86. Standard Error of Measurement (SEM): Using the SEM to estimate the smallest change that exceeds measurement error.

87. Standard Deviation (SD): Employing the SD of the outcome measure to identify a change that is considered clinically important.

88. Half the Standard Deviation: A common rule of thumb is that a change of half the SD is clinically important.

89. Standard Error of the Mean (SEM): Using the SEM to estimate the smallest change that exceeds measurement error.

90. Confidence Intervals: Using confidence intervals to determine the range within which the true MCID is likely to fall.

91. Receiver Operating Characteristic (ROC) Curves: Analyzing ROC curves to identify the optimal cutoff point for the MCID based on sensitivity and specificity.

92. Delphi Method: Using expert consensus to determine the MCID through a structured process of iterative feedback and consensus-building.

93. Patient-Reported Outcomes: Incorporating patient-reported outcomes to ensure that the MCID reflects what patients consider important.

94. Clinical Judgment: Relying on the clinical expertise of healthcare providers to determine what constitutes a meaningful change in patient outcomes.

95. Anchor-Based Methods: Using external criteria or anchors, such as patient-reported outcomes or clinician assessments, to determine the MCID.

96. Distribution-Based Methods: Relying on statistical properties of the outcome measure, such as the standard deviation or standard error of measurement.

97. Effect Size: Calculating the effect size (e.g., Cohen's d) to determine the magnitude of the treatment effect relative to the variability in the outcome measure.

98. Standard Error of Measurement (SEM): Using the SEM to estimate the smallest change that exceeds measurement error.

99. Standard Deviation (SD): Employing the SD of the outcome measure to identify a change that is considered clinically important.

100. Half the Standard Deviation: A common rule of thumb is that a change of half the SD is clinically important.

101. Standard Error of the Mean (SEM): Using the SEM to estimate the smallest change that exceeds measurement error.

102. Confidence Intervals: Using confidence intervals to determine the range within which the true MCID is likely to fall.

103. Receiver Operating Characteristic (ROC) Curves: Analyzing ROC curves to identify the optimal cutoff point for the MCID based on sensitivity and specificity.

104. Delphi Method: Using expert consensus to determine the MCID through a structured process of iterative feedback and consensus-building.

105. Patient-Reported Outcomes: Incorporating patient-reported outcomes to ensure that the MCID reflects what patients consider important.

106. Clinical Judgment: Relying on the clinical expertise of healthcare providers to determine what constitutes a meaningful change in patient outcomes.

107. Anchor-Based Methods: Using external criteria or anchors, such as patient-reported outcomes or clinician assessments, to determine the MCID.

108. Distribution-Based Methods: Relying on statistical properties of the outcome measure, such as the standard deviation or standard error of measurement.

109. Effect Size: Calculating the effect size (e.g., Cohen's d) to determine the magnitude of the treatment effect relative to the variability in the outcome measure.

110. Standard Error of Measurement (SEM): Using the SEM to estimate the smallest change that exceeds measurement error.

111. Standard Deviation (SD): Employing the SD of the outcome measure to identify a change that is considered clinically important.

112. Half the Standard Deviation: A common rule of thumb is that a change of half the SD is clinically important.

113. Standard Error of the Mean (SEM): Using the SEM to estimate the smallest change that exceeds measurement error.

114. Confidence Intervals: Using confidence intervals to determine the range within which the true MCID is likely to fall.

115. Receiver Operating Characteristic (ROC) Curves: Analyzing ROC curves to identify the optimal cutoff point for the MCID based on sensitivity and specificity.

116. Delphi Method: Using expert consensus to determine the MCID through a structured process of iterative feedback and consensus-building.

117. Patient-Reported Outcomes: Incorporating patient-reported outcomes to ensure that the MCID reflects what patients consider important.

118. Clinical Judgment: Relying on the clinical expertise of healthcare providers to determine what constitutes a meaningful change in patient outcomes.

119. Anchor-Based Methods: Using external criteria or anchors, such as patient-reported outcomes or clinician assessments, to determine the MCID.

120. Distribution-Based Methods: Relying on statistical properties

Related Terms:

  • mcid score chart
  • calculating minimal clinically important difference
  • the minimal clinically important difference
  • minimal detectable change vs mcid
  • mdc vs mcid
  • minimum clinically important difference mcid