Maxwell Equation D Alembert

Maxwell Equation D Alembert

Electromagnetic theory is a cornerstone of modern physics, and at its heart lies the Maxwell Equation D Alembert principle. This principle, named after the renowned physicists James Clerk Maxwell and Jean le Rond d'Alembert, provides a fundamental framework for understanding how electric and magnetic fields interact. By delving into the Maxwell Equation D Alembert principle, we can gain insights into the behavior of electromagnetic waves, which are crucial for various technologies, including radio communication, radar, and even medical imaging.

Understanding the Maxwell Equations

The Maxwell equations are a set of four partial differential equations that describe the properties of electric and magnetic fields and relate them to their sources, charge, and current. These equations are:

  • Gauss’s law for electric fields
  • Gauss’s law for magnetic fields
  • Faraday’s law of induction
  • Ampere-Maxwell law

Each of these equations plays a crucial role in the Maxwell Equation D Alembert principle. Let's briefly explore each one:

Gauss’s Law for Electric Fields

Gauss’s law for electric fields states that the electric flux through any closed surface is proportional to the enclosed electric charge. Mathematically, it is expressed as:

Gauss's Law for Electric Fields

Gauss’s Law for Magnetic Fields

Gauss’s law for magnetic fields states that the magnetic flux through any closed surface is zero. This implies that there are no magnetic monopoles. The equation is:

Gauss's Law for Magnetic Fields

Faraday’s Law of Induction

Faraday’s law of induction describes how a changing magnetic field induces an electric field. It is expressed as:

Faraday's Law of Induction

Ampere-Maxwell Law

The Ampere-Maxwell law relates magnetic fields to the currents that generate them and to the changing electric fields. It is given by:

Ampere-Maxwell Law

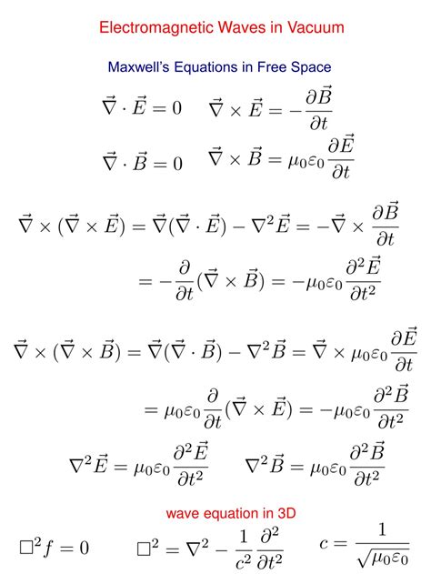
The Role of D’Alembert’s Principle

D’Alembert’s principle is a statement of the fundamental classical mechanics of Maxwell Equation D Alembert principle. It states that the sum of the differences between the forces acting on a system of particles and the time derivatives of the momenta of the particles is zero. In other words, the virtual work done by the forces is zero. This principle is crucial for understanding the dynamics of electromagnetic fields and their interactions.

When applied to electromagnetic theory, D'Alembert's principle helps in deriving the wave equation for electromagnetic fields. The wave equation describes how electromagnetic waves propagate through space and time. The general form of the wave equation for an electromagnetic field is:

Wave Equation

Applications of the Maxwell Equation D Alembert Principle

The Maxwell Equation D Alembert principle has wide-ranging applications in various fields of science and technology. Some of the key applications include:

Radio Communication

Radio communication relies on the propagation of electromagnetic waves. The Maxwell Equation D Alembert principle helps in understanding how these waves are generated, transmitted, and received. This knowledge is essential for designing efficient communication systems, including radio, television, and mobile networks.

Radar Technology

Radar technology uses electromagnetic waves to detect the presence and location of objects. The Maxwell Equation D Alembert principle is crucial for understanding how radar signals are emitted, reflected, and received. This enables the development of advanced radar systems used in aviation, military, and meteorology.

Medical Imaging

Medical imaging techniques such as Magnetic Resonance Imaging (MRI) and Computed Tomography (CT) scans rely on electromagnetic principles. The Maxwell Equation D Alembert principle helps in understanding the interaction of electromagnetic waves with biological tissues, enabling the creation of detailed images of the human body.

Challenges and Future Directions

While the Maxwell Equation D Alembert principle provides a robust framework for understanding electromagnetic phenomena, there are still challenges and areas for future research. Some of the key challenges include:

Nonlinear Electromagnetic Phenomena

Most electromagnetic phenomena are linear, meaning that the superposition principle holds. However, there are nonlinear phenomena where the superposition principle does not apply. Understanding these nonlinear effects is crucial for advancing technologies such as optical fibers and laser systems.

Quantum Electrodynamics

Quantum Electrodynamics (QED) is the quantum field theory of electromagnetism. It describes how electromagnetic fields interact with charged particles at the quantum level. The Maxwell Equation D Alembert principle provides a classical framework, but extending it to the quantum realm is a complex task that requires further research.

Advanced Materials

The development of advanced materials with unique electromagnetic properties, such as metamaterials and photonic crystals, presents new challenges and opportunities. Understanding how these materials interact with electromagnetic waves is essential for designing next-generation technologies.

💡 Note: The Maxwell Equation D Alembert principle is a fundamental concept in electromagnetic theory, but it is also a complex and evolving field. Ongoing research and development are essential for addressing the challenges and exploring new applications.

In summary, the Maxwell Equation D Alembert principle is a cornerstone of electromagnetic theory, providing a fundamental framework for understanding the behavior of electric and magnetic fields. By exploring the Maxwell equations and D’Alembert’s principle, we gain insights into the propagation of electromagnetic waves and their applications in various technologies. From radio communication to medical imaging, the Maxwell Equation D Alembert principle plays a crucial role in shaping our modern world. As we continue to advance our understanding of electromagnetic phenomena, we can expect to see even more innovative applications and technologies emerge.

Related Terms:

  • d'alembert's formula
  • maxwell's equations in 4 form
  • d'alembert solution
  • d'alembert's formula for pde
  • d alembertian equation
  • d'alembert solution nite string