Leibniz Integral Rule

Leibniz Integral Rule

In the realm of calculus, the Leibniz Integral Rule stands as a powerful tool for differentiating integrals with respect to a parameter. This rule is particularly useful in various fields of mathematics, physics, and engineering, where integrals often depend on parameters that can vary. Understanding and applying the Leibniz Integral Rule can simplify complex problems and provide deeper insights into the behavior of functions.

Understanding the Leibniz Integral Rule

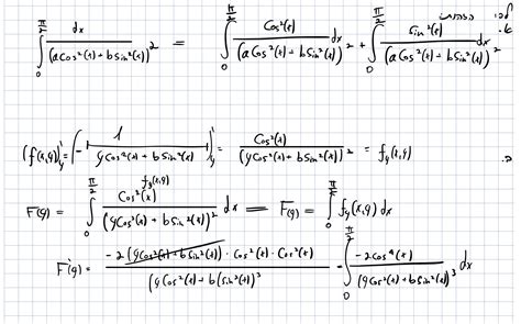
The Leibniz Integral Rule is named after Gottfried Wilhelm Leibniz, a prominent mathematician and philosopher who made significant contributions to calculus. The rule states that if you have an integral of the form:

Leibniz Integral Rule

where a(x) and b(x) are differentiable functions of x, and f(x,t) is a continuous function of t and differentiable with respect to x, then the derivative of the integral with respect to x is given by:

Leibniz Integral Rule Derivative

Applications of the Leibniz Integral Rule

The Leibniz Integral Rule has wide-ranging applications in various fields. Some of the key areas where this rule is applied include:

  • Physics: In problems involving changing boundaries, such as in heat conduction or fluid dynamics.
  • Engineering: In control systems and signal processing, where integrals often depend on parameters that can vary over time.
  • Mathematics: In the study of differential equations and integral transforms, where the rule helps in differentiating integrals with respect to parameters.

Step-by-Step Guide to Applying the Leibniz Integral Rule

To apply the Leibniz Integral Rule, follow these steps:

  1. Identify the integral: Write down the integral in the form
  2. Differentiate the bounds: Compute the derivatives of the upper and lower bounds, b(x) and a(x), with respect to x.
  3. Evaluate the function at the bounds: Substitute x and the bounds a(x) and b(x) into the function f(x,t).
  4. Differentiate the integrand: Compute the partial derivative of f(x,t) with respect to x.
  5. Combine the results: Use the Leibniz Integral Rule formula to combine the results from the previous steps.

💡 Note: Ensure that the functions involved are differentiable and continuous as required by the rule.

Examples of the Leibniz Integral Rule in Action

Let's consider a few examples to illustrate the application of the Leibniz Integral Rule.

Example 1: Simple Integral with Variable Bounds

Consider the integral . We want to find its derivative with respect to x.

Step 1: Identify the integral and bounds.

Step 2: Differentiate the bounds.

Step 3: Evaluate the function at the bounds.

Step 4: Differentiate the integrand.

Step 5: Combine the results.

Example 2: Integral with Variable Integrand

Consider the integral . We want to find its derivative with respect to x.

Step 1: Identify the integral and bounds.

Step 2: Differentiate the bounds.

Step 3: Evaluate the function at the bounds.

Step 4: Differentiate the integrand.

Step 5: Combine the results.

Advanced Applications and Considerations

The Leibniz Integral Rule can be extended to more complex scenarios, such as integrals with multiple parameters or higher-dimensional integrals. In these cases, the rule can be applied iteratively or in combination with other differentiation techniques.

For example, consider an integral with two parameters:

To differentiate this integral with respect to x or y, you would apply the Leibniz Integral Rule to each parameter separately, taking into account the partial derivatives of the bounds and the integrand.

Additionally, the rule can be used in conjunction with other integral transforms, such as the Laplace transform or Fourier transform, to solve differential equations and analyze signals.

Common Pitfalls and Best Practices

When applying the Leibniz Integral Rule, it is essential to be aware of common pitfalls and best practices to ensure accurate results. Some key points to consider include:

  • Check differentiability: Ensure that the functions involved are differentiable and continuous as required by the rule.
  • Simplify expressions: Simplify the expressions for the bounds and the integrand before differentiating to avoid unnecessary complexity.
  • Verify results: Always verify the results by checking special cases or using alternative methods to ensure accuracy.

By following these best practices, you can effectively apply the Leibniz Integral Rule to a wide range of problems and avoid common errors.

In conclusion, the Leibniz Integral Rule is a fundamental tool in calculus that enables the differentiation of integrals with respect to parameters. Its applications span various fields, from physics and engineering to mathematics, making it an essential concept for students and professionals alike. By understanding and mastering this rule, you can tackle complex problems with confidence and gain deeper insights into the behavior of functions.

Related Terms:

  • leibniz integral rule pdf
  • leibniz integral rule proof
  • leibnitz theorem
  • leibniz integral formula
  • newton leibniz formula
  • leibniz integral rule example