Latent Transition Analysis

Latent Transition Analysis

Latent Transition Analysis (LTA) is a powerful statistical technique used to understand and model changes in categorical data over time. It is particularly useful in fields such as psychology, sociology, and epidemiology, where researchers need to track the evolution of states or categories within a population. This blog post will delve into the intricacies of Latent Transition Analysis, explaining its methodology, applications, and the steps involved in conducting an LTA. We will also explore how LTA can be implemented using statistical software and discuss its advantages and limitations.

Understanding Latent Transition Analysis

Latent Transition Analysis is a type of longitudinal data analysis that focuses on identifying and modeling the transitions between latent states over time. Unlike traditional methods that analyze observed data directly, LTA considers the underlying, unobserved states that drive the observed data. This makes it particularly useful for studying phenomena that are not directly measurable but can be inferred from observable variables.

LTA is built on the foundation of latent class analysis, which is used to identify distinct subgroups within a population based on observed variables. In LTA, these subgroups are allowed to change over time, providing a dynamic view of how individuals move between different states. The key components of LTA include:

  • Latent States: The underlying, unobserved categories or groups that individuals belong to at each time point.
  • Transition Probabilities: The likelihood of moving from one latent state to another between time points.
  • Item Response Probabilities: The probability of observing a particular response given a latent state.

Applications of Latent Transition Analysis

Latent Transition Analysis has a wide range of applications across various disciplines. Some of the most common areas where LTA is applied include:

  • Psychology: Studying the development of mental health conditions, such as depression or anxiety, over time.
  • Sociology: Analyzing changes in social behaviors, attitudes, or lifestyles within a population.
  • Epidemiology: Tracking the progression of diseases and the effectiveness of interventions.
  • Education: Examining the development of academic skills and the impact of educational interventions.
  • Marketing: Understanding consumer behavior and the effectiveness of marketing strategies over time.

Steps Involved in Conducting Latent Transition Analysis

Conducting a Latent Transition Analysis involves several key steps, from data collection to model interpretation. Here is a detailed overview of the process:

Data Collection

The first step in LTA is to collect longitudinal data, which includes multiple observations of the same individuals over time. The data should be categorical, as LTA is designed to handle categorical variables. The number of time points and the interval between them can vary depending on the research question and the nature of the data.

Model Specification

Once the data is collected, the next step is to specify the LTA model. This involves defining the number of latent states and the structure of the transitions between them. The model specification also includes the item response probabilities, which describe the relationship between the latent states and the observed variables.

There are several software packages available for conducting LTA, including Mplus, R (with the poLCA package), and Latent GOLD. Each of these tools has its own syntax and capabilities, but they all allow for the specification and estimation of LTA models.

Model Estimation

After specifying the model, the next step is to estimate the parameters using maximum likelihood estimation or Bayesian methods. The estimation process involves finding the values of the transition probabilities and item response probabilities that best fit the observed data. This is typically done using iterative algorithms that converge to a solution.

It is important to note that LTA models can be complex and computationally intensive, especially with large datasets or a large number of latent states. Therefore, it is crucial to have sufficient computational resources and to carefully monitor the convergence of the estimation process.

Model Evaluation

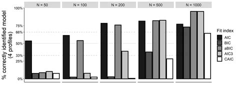
Once the model is estimated, the next step is to evaluate its fit to the data. This involves assessing the goodness-of-fit statistics, such as the likelihood ratio test, Akaike Information Criterion (AIC), and Bayesian Information Criterion (BIC). These statistics help to determine whether the model adequately captures the underlying structure of the data.

In addition to goodness-of-fit statistics, it is also important to consider the interpretability of the model. The latent states and transition probabilities should make sense in the context of the research question and the observed data. If the model is not interpretable, it may be necessary to revise the model specification or collect additional data.

Model Interpretation

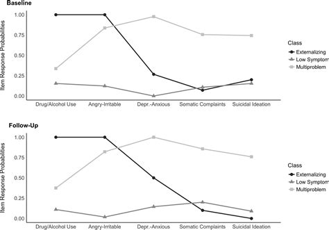
The final step in LTA is to interpret the results and draw conclusions based on the estimated parameters. This involves examining the transition probabilities to understand how individuals move between latent states over time. It also involves interpreting the item response probabilities to understand the relationship between the latent states and the observed variables.

For example, in a study of mental health, the transition probabilities might show that individuals with depression are more likely to remain in the depressed state over time, while those without depression are more likely to transition to a non-depressed state. The item response probabilities might show that certain symptoms are more strongly associated with the depressed state than others.

📝 Note: It is important to consider the limitations of LTA, such as the assumption of conditional independence and the potential for model misspecification. These limitations should be carefully considered when interpreting the results and drawing conclusions.

Implementing Latent Transition Analysis in R

One of the most popular tools for conducting Latent Transition Analysis is the R programming language, particularly using the poLCA package. Below is a step-by-step guide to implementing LTA in R:

Installing and Loading the poLCA Package

First, you need to install and load the poLCA package. You can do this using the following commands:

install.packages("poLCA")
library(poLCA)

Preparing the Data

Next, you need to prepare your data. The data should be in a long format, with each row representing an observation at a specific time point. The data should include a variable indicating the time point and the observed variables.

For example, suppose you have data on depression symptoms collected at three time points. The data might look like this:

ID Time Symptom1 Symptom2 Symptom3
1 1 1 0 1
1 2 0 1 0
1 3 1 1 1
2 1 0 0 0
2 2 1 1 1
2 3 0 0 0

Specifying and Estimating the Model

Once the data is prepared, you can specify and estimate the LTA model using the poLCA function. The following code provides an example of how to do this:

# Specify the model
model <- cbind(Symptom1, Symptom2, Symptom3) ~ 1

# Estimate the model
lta_model <- poLCA(model, data = depression_data, nclass = 2, nrep = 100)

# View the results
summary(lta_model)

In this example, the model specifies that the observed variables (Symptom1, Symptom2, Symptom3) are predicted by a latent variable with two classes (nclass = 2). The nrep parameter specifies the number of replications for the estimation process.

Interpreting the Results

After estimating the model, you can interpret the results by examining the transition probabilities and item response probabilities. The summary function provides a detailed output of the estimated parameters.

For example, the transition probabilities might show that individuals in the depressed state at time 1 have a high probability of remaining in the depressed state at time 2. The item response probabilities might show that certain symptoms are more strongly associated with the depressed state than others.

📝 Note: It is important to carefully interpret the results and consider the limitations of the model. The assumptions of LTA, such as conditional independence, should be carefully considered when drawing conclusions.

Advantages and Limitations of Latent Transition Analysis

Latent Transition Analysis offers several advantages for studying longitudinal data, but it also has its limitations. Understanding these strengths and weaknesses is crucial for effectively applying LTA in research.

Advantages

  • Dynamic View: LTA provides a dynamic view of how individuals move between different states over time, allowing for a more nuanced understanding of longitudinal data.
  • Handling Missing Data: LTA can handle missing data more effectively than traditional methods, as it accounts for the underlying structure of the data.
  • Flexibility: LTA is flexible and can be applied to a wide range of research questions and data types.
  • Interpretability: The results of LTA are often interpretable, providing insights into the underlying processes driving the observed data.

Limitations

  • Complexity: LTA models can be complex and computationally intensive, requiring sufficient computational resources and expertise.
  • Assumptions: LTA relies on several assumptions, such as conditional independence, which may not always hold in practice.
  • Model Misspecification: The results of LTA can be sensitive to model misspecification, which can lead to biased estimates and incorrect conclusions.
  • Data Requirements: LTA requires longitudinal data with multiple observations over time, which may not always be available.

Despite these limitations, LTA remains a powerful tool for studying longitudinal data and understanding the dynamics of categorical variables over time.

Latent Transition Analysis is a valuable technique for researchers seeking to understand the dynamics of categorical data over time. By identifying and modeling the transitions between latent states, LTA provides insights into the underlying processes driving observed data. Whether applied in psychology, sociology, epidemiology, or other fields, LTA offers a flexible and powerful approach to longitudinal data analysis. However, it is important to carefully consider the assumptions and limitations of LTA when interpreting the results and drawing conclusions. With the right tools and expertise, LTA can be a powerful tool for advancing research and understanding complex phenomena.

Related Terms:

  • latent transition analysis mplus
  • latent class and transition analysis
  • latent transition analysis article
  • latent profile analysis best practice
  • latent transition analysis lta