Interval Of Convergence

Interval Of Convergence

Understanding the interval of convergence is crucial for anyone delving into the world of power series. A power series is a mathematical series of the form:

a0 + a1x + a2x2 + a3x3 + ...

where a0, a1, a2, ... are constants and x is a variable. The interval of convergence refers to the range of values for x for which this series converges to a finite value. This concept is fundamental in calculus and analysis, with applications ranging from solving differential equations to understanding the behavior of functions.

Understanding Power Series

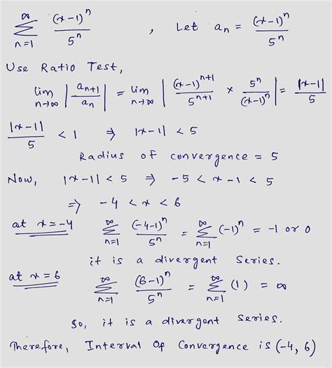
A power series is essentially an infinite polynomial. The coefficients a0, a1, a2, … determine the behavior of the series. The interval of convergence is the set of all x values for which the series converges. This interval can be finite or infinite and is determined using various tests, such as the Ratio Test or the Root Test.

The Ratio Test for Convergence

The Ratio Test is one of the most commonly used methods to determine the interval of convergence of a power series. The test involves taking the limit of the ratio of successive terms of the series:

L = lim (n→∞) |an+1xn+1 / anxn|

If L < 1, the series converges. If L > 1, the series diverges. If L = 1, the test is inconclusive.

Steps to Determine the Interval of Convergence

To find the interval of convergence of a power series, follow these steps:

  • Identify the coefficients an of the power series.
  • Apply the Ratio Test to find the values of x for which the series converges.
  • Check the endpoints of the interval separately, as the Ratio Test may be inconclusive at these points.

🔍 Note: The endpoints of the interval must be checked separately because the Ratio Test may not provide conclusive results at these points. Use other convergence tests, such as the Alternating Series Test or the Direct Comparison Test, if necessary.

Examples of Finding the Interval of Convergence

Let’s consider a few examples to illustrate the process of finding the interval of convergence.

Example 1: Geometric Series

Consider the geometric series:

1 + x + x2 + x3 + …

Using the Ratio Test:

L = lim (n→∞) |xn+1 / xn| = |x|

The series converges if |x| < 1. Therefore, the interval of convergence is (-1, 1).

Example 2: Exponential Series

Consider the exponential series:

1 + x + x2/2! + x3/3! + …

Using the Ratio Test:

L = lim (n→∞) |(xn+1/(n+1)!) / (xn/n!)| = lim (n→∞) |x/(n+1)| = 0

Since L = 0, the series converges for all x. Therefore, the interval of convergence is (-∞, ∞).

Example 3: Series with Alternating Signs

Consider the series:

1 - x + x2 - x3 + …

Using the Ratio Test:

L = lim (n→∞) |(-xn+1) / (xn)| = |x|

The series converges if |x| < 1. Therefore, the interval of convergence is (-1, 1). However, at x = -1, the series converges by the Alternating Series Test. Thus, the interval of convergence is (-1, 1].

Special Cases and Endpoint Analysis

Determining the interval of convergence often involves analyzing the endpoints of the interval separately. This is because the Ratio Test may not provide conclusive results at these points. Here are some special cases to consider:

Case 1: Endpoints with Absolute Convergence

If the series converges absolutely at an endpoint, it converges at that point. For example, consider the series:

1 + x + x2 + x3 + …

At x = 1, the series becomes:

1 + 1 + 1 + 1 + …

which diverges. At x = -1, the series becomes:

1 - 1 + 1 - 1 + …

which also diverges. Therefore, the interval of convergence is (-1, 1).

Case 2: Endpoints with Conditional Convergence

If the series converges conditionally at an endpoint, it may still converge at that point. For example, consider the series:

1 - x + x2 - x3 + …

At x = -1, the series becomes:

1 + 1 + 1 + 1 + …

which diverges. At x = 1, the series becomes:

1 - 1 + 1 - 1 + …

which also diverges. Therefore, the interval of convergence is (-1, 1).

Applications of the Interval of Convergence

The interval of convergence has numerous applications in mathematics and other fields. Understanding where a power series converges is essential for:

  • Solving differential equations: Power series solutions often require knowing the interval of convergence to ensure the solution is valid.
  • Analyzing functions: Power series representations of functions can provide insights into their behavior, such as continuity and differentiability.
  • Numerical methods: Power series are used in numerical methods to approximate functions and solve equations.

Common Mistakes and Pitfalls

When determining the interval of convergence, it’s important to avoid common mistakes and pitfalls:

  • Not checking the endpoints separately: The Ratio Test may be inconclusive at the endpoints, so additional tests are often necessary.
  • Assuming convergence at the endpoints: Just because a series converges within an interval does not mean it converges at the endpoints.
  • Ignoring the behavior of the coefficients: The coefficients of the power series can significantly affect the interval of convergence.

🔍 Note: Always verify the convergence at the endpoints using appropriate tests, such as the Alternating Series Test or the Direct Comparison Test.

Advanced Topics in Interval of Convergence

For those interested in delving deeper into the interval of convergence, there are several advanced topics to explore:

  • Radius of Convergence: The radius of convergence is a measure of the distance from the center of the power series to the nearest point where the series diverges.
  • Analytic Functions: Analytic functions are functions that can be represented by a power series within their interval of convergence. Understanding these functions is crucial in complex analysis.
  • Taylor and Maclaurin Series: These are specific types of power series used to represent functions. Understanding their interval of convergence is essential for their application.

To illustrate the concept of the radius of convergence, consider the power series:

a0 + a1x + a2x2 + a3x3 + ...

The radius of convergence R is given by:

1/R = lim (n→∞) |an+1/an|

If R = ∞, the series converges for all x. If R = 0, the series converges only at x = 0. Otherwise, the series converges for |x| < R.

Conclusion

The interval of convergence is a fundamental concept in the study of power series. It provides insights into the behavior of functions and is essential for solving differential equations and understanding numerical methods. By applying tests such as the Ratio Test and carefully analyzing the endpoints, one can determine the interval of convergence for various power series. This knowledge is crucial for anyone working in calculus, analysis, or related fields. Understanding the interval of convergence allows for a deeper appreciation of the underlying mathematics and its applications in various scientific and engineering disciplines.

Related Terms:

  • interval of convergence meaning
  • radius of convergence
  • radius of convergence e x
  • interval of convergence series
  • interval of convergence def
  • interval of convergence power series