In the world of woodworking, metalworking, and various other crafts, precision is key. One of the essential tools that help achieve this precision is the Inch Fraction Chart. This chart is a vital reference for converting fractional inches to decimal inches and vice versa. Understanding how to use an Inch Fraction Chart can significantly enhance the accuracy of your measurements, ensuring that your projects turn out exactly as planned.
Understanding the Inch Fraction Chart
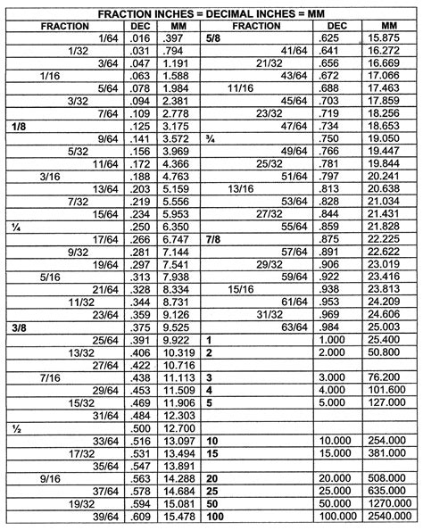
An Inch Fraction Chart is a visual aid that lists common fractional measurements in inches and their corresponding decimal equivalents. This chart is particularly useful for tasks that require precise measurements, such as cutting wood, drilling holes, or assembling mechanical parts. By referring to the chart, you can quickly convert between fractional and decimal measurements, reducing the risk of errors.
Why Use an Inch Fraction Chart?
There are several reasons why an Inch Fraction Chart is an invaluable tool for craftsmen and DIY enthusiasts:
- Accuracy: Converting fractions to decimals manually can be time-consuming and prone to errors. An Inch Fraction Chart provides quick and accurate conversions.
- Efficiency: With a chart at hand, you can save time by avoiding complex calculations. This is especially useful in time-sensitive projects.
- Consistency: Using a standardized chart ensures that measurements are consistent across different projects and team members.
- Versatility: The chart can be used in various applications, from woodworking and metalworking to sewing and crafting.
How to Read an Inch Fraction Chart
Reading an Inch Fraction Chart is straightforward once you understand the layout. Here’s a step-by-step guide:
- Identify the Fraction: Locate the fractional measurement you need to convert. For example, if you need to convert 3/8 inches to decimal, find 3/8 on the chart.
- Find the Decimal Equivalent: Next to the fractional measurement, you will find the decimal equivalent. In this case, 3/8 inches is equal to 0.375 inches.
- Verify the Conversion: To ensure accuracy, you can double-check the conversion using a calculator or another reference source.
Here is an example of what an Inch Fraction Chart might look like:
| Fraction | Decimal |
|---|---|
| 1/64 | 0.015625 |
| 1/32 | 0.03125 |
| 1/16 | 0.0625 |
| 3/32 | 0.09375 |
| 1/8 | 0.125 |
| 5/32 | 0.15625 |
| 3/16 | 0.1875 |
| 7/32 | 0.21875 |
| 1/4 | 0.25 |
| 9/32 | 0.28125 |
| 5/16 | 0.3125 |
| 11/32 | 0.34375 |
| 3/8 | 0.375 |
| 13/32 | 0.40625 |
| 7/16 | 0.4375 |
| 15/32 | 0.46875 |
| 1/2 | 0.5 |
| 17/32 | 0.53125 |
| 9/16 | 0.5625 |
| 19/32 | 0.59375 |
| 5/8 | 0.625 |
| 21/32 | 0.65625 |
| 11/16 | 0.6875 |
| 23/32 | 0.71875 |
| 3/4 | 0.75 |
| 25/32 | 0.78125 |
| 13/16 | 0.8125 |
| 27/32 | 0.84375 |
| 7/8 | 0.875 |
| 29/32 | 0.90625 |
| 15/16 | 0.9375 |
| 31/32 | 0.96875 |
| 1 | 1 |
📝 Note: This table includes common fractional measurements and their decimal equivalents. For more precise or less common fractions, you may need a more detailed Inch Fraction Chart or a calculator.
Common Applications of the Inch Fraction Chart
The Inch Fraction Chart is used in various fields where precise measurements are crucial. Here are some common applications:
- Woodworking: Woodworkers often need to convert fractional measurements to decimal for accurate cutting and assembly. An Inch Fraction Chart helps ensure that joints fit perfectly and that dimensions are consistent.
- Metalworking: In metalworking, precision is paramount. Whether you’re drilling holes, cutting metal sheets, or assembling parts, an Inch Fraction Chart ensures that all measurements are accurate.
- Crafting: From sewing to jewelry making, craftsmen rely on precise measurements to create high-quality products. An Inch Fraction Chart helps in converting measurements quickly and accurately.
- Engineering: Engineers often work with both fractional and decimal measurements. An Inch Fraction Chart is a handy tool for converting between the two, ensuring that designs and specifications are accurate.
Creating Your Own Inch Fraction Chart
If you prefer to have a custom Inch Fraction Chart, you can create one yourself. Here’s how:
- Gather Materials: You will need a piece of paper or a digital document, a ruler, and a pencil or a computer with design software.
- List Common Fractions: Start by listing the common fractional measurements you use frequently. For example, 1/16, 1/8, 3/16, 1/4, etc.
- Convert to Decimals: Use a calculator to convert each fraction to its decimal equivalent. For example, 1/16 is 0.0625.
- Create the Chart: Arrange the fractions and their decimal equivalents in a table format. You can use a spreadsheet program like Microsoft Excel or Google Sheets for a digital chart.
- Print or Save: Once your chart is complete, print it out or save it digitally for easy reference.
📝 Note: Creating your own Inch Fraction Chart allows you to customize it to your specific needs, including adding less common fractions or including metric conversions.
Tips for Using an Inch Fraction Chart
To get the most out of your Inch Fraction Chart, consider the following tips:
- Keep It Handy: Store your chart in a convenient location where you can easily access it while working. This could be on your workbench, in your toolbox, or on your computer desktop.
- Laminate for Durability: If you have a physical chart, consider laminating it to protect it from wear and tear. This will ensure it lasts longer and remains legible.
- Use Digital Tools: For those who prefer digital tools, there are apps and online converters that can provide quick and accurate conversions. However, having a physical chart can be more convenient in some situations.
- Double-Check Measurements: Always double-check your measurements to ensure accuracy. Even with a chart, human error can occur, so it’s important to verify your work.
Using an Inch Fraction Chart effectively can significantly improve the precision and efficiency of your projects. Whether you’re a professional craftsman or a DIY enthusiast, this tool is an invaluable addition to your toolkit.
An Inch Fraction Chart is more than just a reference tool; it’s a gateway to precision and accuracy in your measurements. By understanding how to use it effectively, you can enhance the quality of your work and ensure that your projects turn out exactly as planned. Whether you’re working with wood, metal, or fabric, an Inch Fraction Chart is a must-have for anyone who values precision.
Related Terms:
- fraction decimal conversion chart
- inch fraction chart to mm
- printable fraction chart
- inch fraction chart pdf
- printable fraction to decimal chart
- imperial fraction chart