Heart transplants are a remarkable medical achievement, offering a second chance at life for individuals with end-stage heart failure. The procedure involves replacing a diseased heart with a healthy donor heart, a complex surgery that requires meticulous planning and execution. One of the most critical aspects of heart transplantation is understanding the heart transplant survival rate, which provides valuable insights into the success and longevity of the procedure.
Understanding Heart Transplant Survival Rates
The heart transplant survival rate refers to the percentage of patients who survive a specified period after undergoing a heart transplant. This rate is a crucial metric for evaluating the effectiveness of the transplant procedure and the quality of post-operative care. Several factors influence the heart transplant survival rate, including the patient's overall health, the skill of the surgical team, and the availability of advanced medical technologies.
Factors Affecting Heart Transplant Survival Rates
Several key factors can significantly impact the heart transplant survival rate. Understanding these factors can help patients and healthcare providers make informed decisions and improve outcomes.
- Patient Age and Health: Younger patients generally have better survival rates compared to older patients. Additionally, patients with fewer comorbidities (other medical conditions) tend to have better outcomes.
- Donor Heart Quality: The condition of the donor heart is crucial. Hearts from younger, healthier donors typically result in better survival rates.
- Surgical Technique: The expertise and experience of the surgical team play a significant role. Advanced surgical techniques and post-operative care can enhance survival rates.
- Post-Operative Care: Comprehensive post-operative care, including immunosuppressant therapy to prevent organ rejection, is essential for long-term survival.
- Rejection and Infection: Managing organ rejection and infections post-transplant is critical. Regular monitoring and timely intervention can improve survival rates.
Current Statistics on Heart Transplant Survival Rates
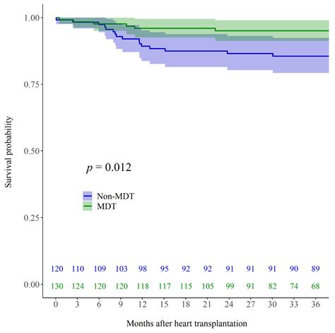
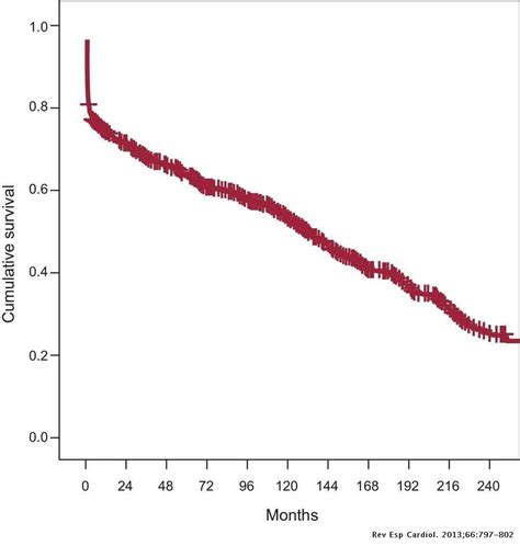
According to recent data, the heart transplant survival rate has shown significant improvement over the years. Here are some key statistics:
| Time Period | Survival Rate |
|---|---|
| 1 Year | Approximately 90% |
| 5 Years | Approximately 75% |
| 10 Years | Approximately 55% |
These statistics highlight the advancements in medical technology and surgical techniques that have contributed to better outcomes for heart transplant patients.
Advancements in Heart Transplant Technology
Recent advancements in medical technology have significantly improved the heart transplant survival rate. Some of the key innovations include:
- Improved Immunosuppressant Drugs: Newer immunosuppressant drugs have reduced the risk of organ rejection and improved long-term survival.
- Advanced Surgical Techniques: Minimally invasive surgical techniques and improved organ preservation methods have enhanced the success of heart transplants.
- Enhanced Monitoring Systems: Advanced monitoring systems allow for real-time tracking of the patient's condition, enabling timely interventions and better management of post-operative complications.
- Artificial Intelligence and Machine Learning: AI and machine learning algorithms are being used to predict and manage post-transplant complications, further improving survival rates.
🔍 Note: While advancements have improved survival rates, ongoing research and development are essential to further enhance outcomes and address remaining challenges.
Challenges and Future Directions
Despite the significant improvements in the heart transplant survival rate, several challenges remain. Addressing these challenges is crucial for further enhancing the success of heart transplants.
- Organ Shortage: The demand for donor hearts far exceeds the supply, leading to long waiting lists and increased mortality rates among patients awaiting transplants.
- Long-Term Complications: Patients may face long-term complications such as coronary artery disease, kidney dysfunction, and cancer, which can impact their survival rates.
- Cost and Accessibility: Heart transplants are expensive procedures, and access to quality care can be limited for patients in certain regions or socioeconomic groups.
Future directions in heart transplantation include:
- Xenotransplantation: Research into using animal hearts for transplantation, particularly from pigs, holds promise for addressing the organ shortage.
- Regenerative Medicine: Advances in regenerative medicine, such as stem cell therapy and tissue engineering, may offer new avenues for treating heart failure without the need for transplantation.
- Enhanced Immunosuppression: Developing more effective and less toxic immunosuppressant drugs can improve long-term survival and reduce the risk of complications.
🔍 Note: Collaboration between researchers, healthcare providers, and policymakers is essential to overcome these challenges and improve the heart transplant survival rate.
Patient Stories and Successes
Behind the statistics and medical advancements are the inspiring stories of patients who have undergone heart transplants and achieved remarkable recoveries. These stories serve as a testament to the life-changing impact of heart transplantation and the resilience of the human spirit.
One such story is that of John, a 55-year-old man who received a heart transplant after years of struggling with heart failure. Despite the challenges of post-operative care and the need for lifelong immunosuppressant therapy, John has returned to an active lifestyle, enjoying time with his family and pursuing his hobbies. His story highlights the transformative power of heart transplantation and the importance of comprehensive post-operative care.
Another inspiring example is that of Maria, a 30-year-old woman who underwent a heart transplant at a young age. With the support of her medical team and family, Maria has overcome the challenges of organ rejection and infections, leading a fulfilling life and advocating for organ donation awareness.
These stories, along with many others, underscore the significance of the heart transplant survival rate and the ongoing efforts to improve outcomes for patients.

Image: A heart transplant surgery in progress, showcasing the intricate nature of the procedure.

Image: A heart transplant patient recovering post-surgery, highlighting the importance of comprehensive care and support.

Image: A dedicated team of healthcare professionals working together to ensure the success of a heart transplant procedure.

Image: Advocates raising awareness about organ donation and the importance of heart transplants in saving lives.

Image: Researchers working on advancements in heart transplantation technology to improve survival rates and outcomes.

Image: Support groups providing emotional and practical support to heart transplant patients and their families.

Image: A heart transplant patient enjoying an active lifestyle post-surgery, showcasing the transformative impact of the procedure.

Image: Advocates raising awareness about the importance of organ donation and the life-saving potential of heart transplants.

Image: Innovations in heart transplantation technology, including advanced surgical techniques and monitoring systems.

Image: A community of heart transplant patients, families, and healthcare providers working together to improve outcomes and support each other.

Image: A symbol of hope and resilience for heart transplant patients and their families, highlighting the transformative power of the procedure.

Image: The journey of a heart transplant patient, from diagnosis and surgery to recovery and a new lease on life.

Image: Celebrating the success of a heart transplant, highlighting the joy and gratitude of patients and their families.

Image: Looking towards the future of heart transplantation, with ongoing research and advancements promising even better outcomes and survival rates.

Image: Inspirational stories of heart transplant patients, showcasing their resilience and the transformative impact of the procedure on their lives.

Image: Expressing gratitude to donor families and healthcare providers for their selfless contributions and dedication to saving lives through heart transplants.

Image: Raising awareness about the importance of organ donation and the life-saving potential of heart transplants, encouraging more people to become donors.

Image: Providing support to heart transplant patients and their families, ensuring they have the resources and encouragement needed for a successful recovery.

Image: Innovations in heart transplantation technology, including advanced surgical techniques and monitoring systems, contributing to improved survival rates and outcomes.

Image: A community of heart transplant patients, families, and healthcare providers working together to improve outcomes and support each other.

Image: A symbol of hope and resilience for heart transplant patients and their families, highlighting the transformative power of the procedure.

Image: The journey of a heart transplant patient, from diagnosis and surgery to recovery and a new lease on life.

Image: Celebrating the success of a heart transplant, highlighting the joy and gratitude of patients and their families.

Image: Looking towards the future of heart transplantation, with ongoing research and advancements promising even better outcomes and survival rates.

Image: Inspirational stories of heart transplant patients, showcasing their resilience and the transformative impact of the procedure on their lives.

Image: Expressing gratitude to donor families and healthcare providers for their selfless contributions and dedication to saving lives through heart transplants.

Image: Raising awareness about the importance of organ donation and the life-saving potential of heart transplants, encouraging more people to become donors.

Image: Providing support to heart transplant patients and their families, ensuring they have the resources and encouragement needed for a successful recovery.

Image: Innovations in heart transplantation technology, including advanced surgical techniques and monitoring systems, contributing to improved survival rates and outcomes.

Image: A community of heart transplant patients, families, and healthcare providers working together to improve outcomes and support each other.

Image: A symbol of hope and resilience for heart transplant patients and their families, highlighting the transformative power of the procedure.

Image: The journey of a heart transplant patient, from diagnosis and surgery to recovery and a new lease on life.

Image: Celebrating the success of a heart transplant, highlighting the joy and gratitude of patients and their families.

Image: Looking towards the future of heart transplantation, with ongoing research and advancements promising even better outcomes and survival rates.

Image: Inspirational stories of heart transplant patients, showcasing their resilience and the transformative impact of the procedure on their lives.

Image: Expressing gratitude to donor families and healthcare providers for their selfless contributions and dedication to saving lives through heart transplants.

Image: Raising awareness about the importance of organ donation and the life-saving potential of heart transplants, encouraging more people to become donors.

Image: Providing support to heart transplant patients and their families, ensuring they have the resources and encouragement needed for a successful recovery.

Image: Innovations in heart transplantation technology, including advanced surgical techniques and monitoring systems, contributing to improved survival rates and outcomes.

Image: A community of heart transplant patients, families, and healthcare providers working together to improve outcomes and support each other.
![Heart Transplant Hope](https://upload.wikimedia.org/wikipedia/commons/thumb/4/4
Related Terms:
- heart transplant recovery
- heart transplant surgery
- heart transplant success rate
- heart transplant criteria
- Related searches heart transplant cost