Gravity In Ft/S2

Gravity In Ft/S2

Understanding the concept of gravity is fundamental to various fields of science and engineering. Gravity, often measured in feet per second squared (ft/s²), is the force that attracts two objects toward each other. This force is crucial in many applications, from designing buildings to launching satellites into orbit. This post delves into the intricacies of gravity in ft/s², exploring its definition, measurement, and practical applications.

What is Gravity in ft/s²?

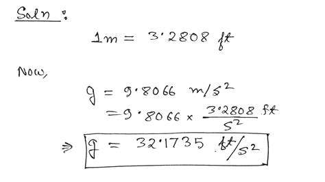
Gravity in ft/s² refers to the acceleration due to gravity, which is the rate at which an object falls towards the Earth’s surface. This acceleration is approximately 32.2 ft/s² at sea level. The value can vary slightly depending on the location due to factors such as altitude and latitude. Understanding this measurement is essential for various scientific and engineering calculations.

Measuring Gravity

Measuring gravity involves several methods, each with its own set of tools and techniques. Here are some common methods:

  • Pendulum Method: This method uses a pendulum to measure the period of oscillation, which can then be used to calculate the acceleration due to gravity.
  • Free Fall Method: This involves dropping an object from a known height and measuring the time it takes to hit the ground. The acceleration due to gravity can be calculated using the formula g = 2s/t², where s is the distance fallen and t is the time taken.
  • Spring Balance Method: This method uses a spring balance to measure the weight of an object, which can then be used to calculate the acceleration due to gravity.

Factors Affecting Gravity

Several factors can affect the measurement of gravity in ft/s². These include:

  • Altitude: Gravity decreases with increasing altitude. At higher elevations, the force of gravity is slightly less than at sea level.
  • Latitude: Gravity varies with latitude due to the Earth’s rotation and its oblate shape. It is strongest at the poles and weakest at the equator.
  • Local Geology: The density of the Earth’s crust can also affect gravity. Areas with denser rock formations will have slightly higher gravity.

Practical Applications of Gravity in ft/s²

The measurement of gravity in ft/s² has numerous practical applications across various fields. Some of the key areas include:

  • Civil Engineering: Understanding gravity is crucial for designing structures that can withstand the forces exerted by gravity. Engineers use this knowledge to ensure the stability and safety of buildings, bridges, and other infrastructure.
  • Aerospace Engineering: In aerospace, gravity plays a significant role in the design and operation of aircraft and spacecraft. Engineers must account for the effects of gravity when calculating trajectories, fuel requirements, and structural integrity.
  • Geophysics: Geophysicists use gravity measurements to study the Earth’s interior. Variations in gravity can indicate the presence of underground structures, such as oil reserves or mineral deposits.

Calculating Gravity

Calculating gravity involves using the formula for acceleration due to gravity, which is derived from Newton’s law of universal gravitation. The formula is:

g = GM/r²

Where:

  • g is the acceleration due to gravity
  • G is the gravitational constant (6.67430 × 10⁻¹¹ m³ kg⁻¹ s⁻²)
  • M is the mass of the Earth
  • r is the radius of the Earth

For practical purposes, the value of g is often approximated as 32.2 ft/s² at sea level.

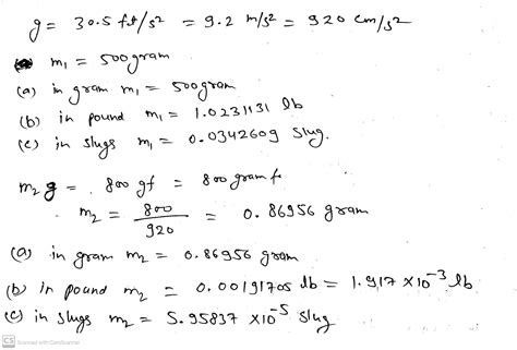
Gravity and Weight

Gravity is closely related to weight, which is the force exerted by gravity on an object. The weight of an object can be calculated using the formula:

W = mg

Where:

  • W is the weight of the object
  • m is the mass of the object
  • g is the acceleration due to gravity

For example, if an object has a mass of 10 kg and the acceleration due to gravity is 32.2 ft/s², the weight of the object would be:

W = 10 kg × 32.2 ft/s² = 322 N

Gravity and Orbits

Gravity is the force that keeps planets in their orbits around the Sun and satellites in their orbits around the Earth. The orbital velocity of a satellite can be calculated using the formula:

v = √(GM/r)

Where:

  • v is the orbital velocity
  • G is the gravitational constant
  • M is the mass of the Earth
  • r is the radius of the orbit

For a satellite in low Earth orbit, the orbital velocity is approximately 17,500 mph (28,160 km/h).

Gravity and Tides

Gravity also plays a role in the phenomenon of tides. The gravitational pull of the Moon and the Sun causes the oceans to bulge, resulting in high and low tides. The tidal force is the difference between the gravitational force on the side of the Earth closest to the Moon and the side farthest from the Moon.

Gravity and Black Holes

Black holes are regions of space where the gravitational pull is so strong that nothing, not even light, can escape. The event horizon of a black hole is the point of no return, where the escape velocity is equal to the speed of light. The gravitational force near a black hole is described by the Schwarzschild radius, which is given by the formula:

R = 2GM/c²

Where:

  • R is the Schwarzschild radius
  • G is the gravitational constant
  • M is the mass of the black hole
  • c is the speed of light

For a black hole with the mass of the Sun, the Schwarzschild radius is approximately 3 km.

Gravity and Relativity

Einstein’s theory of general relativity provides a more comprehensive understanding of gravity. According to this theory, gravity is not just a force between two objects but a curvature of spacetime caused by mass and energy. This curvature affects the motion of objects, causing them to follow geodesic trajectories.

Gravity and Everyday Life

Gravity is a fundamental force that affects our daily lives in numerous ways. From keeping our feet on the ground to enabling us to walk, run, and jump, gravity is an ever-present force. Understanding gravity in ft/s² helps us appreciate the complexities of the natural world and the scientific principles that govern it.

📝 Note: The value of gravity in ft/s² can vary slightly depending on the location and altitude. For most practical purposes, the standard value of 32.2 ft/s² is used.

📝 Note: The measurement of gravity is crucial for various scientific and engineering applications, from designing structures to studying the Earth's interior.

Gravity in ft/s² is a fundamental concept that underpins many aspects of science and engineering. From its role in keeping planets in orbit to its effects on everyday life, understanding gravity is essential for a wide range of applications. By exploring the measurement, factors, and practical uses of gravity, we gain a deeper appreciation for the forces that shape our world.

Related Terms:

  • gravity in feet
  • gravity in imperial units
  • ft s2 to g
  • gravity acceleration in ft s2
  • gravity feet per second squared
  • gravity constant in ft s2