Domain Of Composite Functions

Domain Of Composite Functions

Understanding the domain of composite functions is a fundamental concept in mathematics, particularly in the realm of calculus and advanced algebra. Composite functions are formed by combining two or more functions, and determining their domain involves careful consideration of each component function. This post will delve into the intricacies of the domain of composite functions, providing a comprehensive guide to help you grasp this essential topic.

Understanding Composite Functions

A composite function is created by applying one function to the result of another function. If we have two functions, f(x) and g(x), the composite function f(g(x)) is formed by first applying g(x) to x and then applying f to the result. For example, if f(x) = x^2 and g(x) = x + 1, then f(g(x)) = (x + 1)^2.

Determining the Domain of Composite Functions

To find the domain of composite functions, we need to consider the domains of both the inner and outer functions. The domain of a composite function f(g(x)) is the set of all x values for which both g(x) is defined and f(g(x)) is defined.

Here are the steps to determine the domain of composite functions:

  • Identify the inner function g(x) and its domain.
  • Identify the outer function f(x) and its domain.
  • Determine the values of x for which g(x) is within the domain of f.
  • Ensure that g(x) itself is defined for these values of x.

Let's illustrate this with an example:

Consider the functions f(x) = √x and g(x) = x - 3. We want to find the domain of f(g(x)).

  • The domain of f(x) = √x is [0, ∞) because the square root function is defined for non-negative numbers.
  • The domain of g(x) = x - 3 is all real numbers, (-∞, ∞).
  • For f(g(x)) to be defined, g(x) must be in the domain of f, which means x - 3 ≥ 0.
  • Solving x - 3 ≥ 0 gives x ≥ 3.

Therefore, the domain of composite functions f(g(x)) is [3, ∞).

💡 Note: Always ensure that the output of the inner function falls within the domain of the outer function when determining the domain of composite functions.

Special Cases in the Domain of Composite Functions

There are several special cases to consider when determining the domain of composite functions. These include functions with restrictions, piecewise functions, and functions with asymptotes.

Functions with Restrictions

Some functions have inherent restrictions that affect their domain. For example, the function f(x) = 1/x is undefined at x = 0. If we have g(x) = 1/x and f(x) = √x, the composite function f(g(x)) will have additional restrictions.

Let’s find the domain of composite functions f(g(x)):

  • The domain of f(x) = √x is [0, ∞).
  • The domain of g(x) = 1/x is all real numbers except 0, (-∞, 0) ∪ (0, ∞).
  • For f(g(x)) to be defined, g(x) must be in the domain of f, which means 1/x ≥ 0.
  • Since 1/x is positive for all x except 0, the domain of f(g(x)) is (-∞, 0) ∪ (0, ∞).

Piecewise Functions

Piecewise functions are defined by different expressions over different intervals. When dealing with the domain of composite functions that are piecewise, you need to consider each piece separately.

Consider the piecewise function g(x):

Interval Expression
x ≤ 0 x + 1
x > 0 x - 1

And let f(x) = √x. To find the domain of composite functions f(g(x)), we need to consider each piece of g(x):

  • For x ≤ 0, g(x) = x + 1. We need x + 1 ≥ 0, which gives x ≥ -1. So, the domain for this piece is [-1, 0].
  • For x > 0, g(x) = x - 1. We need x - 1 ≥ 0, which gives x ≥ 1. So, the domain for this piece is [1, ∞).

Therefore, the domain of composite functions f(g(x)) is [-1, 0] ∪ [1, ∞).

Functions with Asymptotes

Functions with vertical asymptotes have restrictions on their domain. For example, the function f(x) = 1/(x - 2) has a vertical asymptote at x = 2. If we have g(x) = x^2 and f(x) = 1/(x - 2), the composite function f(g(x)) will have additional restrictions.

Let’s find the domain of composite functions f(g(x)):

  • The domain of f(x) = 1/(x - 2) is all real numbers except 2, (-∞, 2) ∪ (2, ∞).
  • The domain of g(x) = x^2 is all real numbers, (-∞, ∞).
  • For f(g(x)) to be defined, g(x) must be in the domain of f, which means x^2 ≠ 2.
  • Solving x^2 ≠ 2 gives x ≠ √2 and x ≠ -√2.

Therefore, the domain of composite functions f(g(x)) is (-∞, -√2) ∪ (-√2, √2) ∪ (√2, ∞).

💡 Note: When dealing with functions that have asymptotes, ensure that the values of x do not make the inner function approach the asymptote.

Practical Applications of the Domain of Composite Functions

The concept of the domain of composite functions is not just theoretical; it has practical applications in various fields such as physics, engineering, and economics. Understanding how to determine the domain of composite functions is crucial for solving real-world problems.

For example, in physics, composite functions are often used to model complex systems. If you have a function that describes the position of an object and another function that describes its velocity, the composite function can describe the acceleration. Determining the domain of composite functions ensures that the model is valid for all relevant values of x.

In engineering, composite functions are used to model systems with multiple stages or components. For instance, in electrical engineering, the voltage across a resistor can be modeled as a composite function of the current and resistance. Knowing the domain of composite functions helps engineers design systems that operate within safe and effective parameters.

In economics, composite functions are used to model relationships between different economic variables. For example, the demand for a product can be modeled as a composite function of price and income. Understanding the domain of composite functions ensures that economic models are accurate and reliable.

In summary, the domain of composite functions is a fundamental concept with wide-ranging applications. By mastering the techniques for determining the domain of composite functions, you can solve complex problems in various fields and gain a deeper understanding of mathematical relationships.

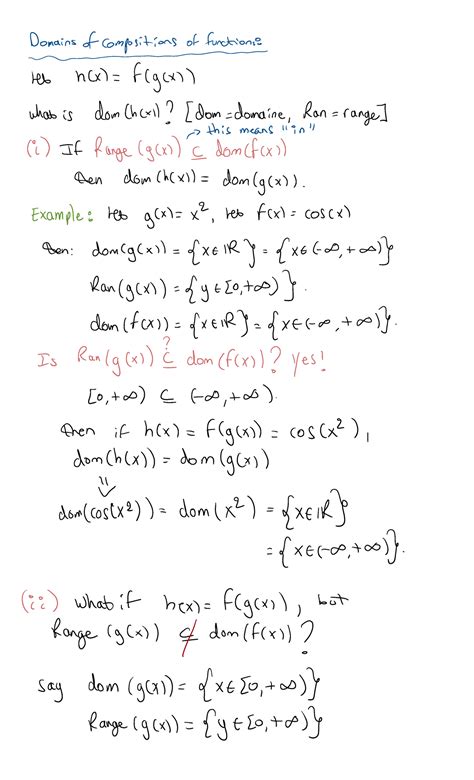
To further illustrate the concept, consider the following example:

Composite Function Example

This image shows a composite function f(g(x)) where f(x) = x^2 and g(x) = x + 1. The domain of composite functions in this case is all real numbers, (-∞, ∞), because both f and g are defined for all x.

By understanding the domain of composite functions, you can ensure that your mathematical models are accurate and reliable. Whether you are studying calculus, solving real-world problems, or exploring advanced mathematical concepts, the domain of composite functions is a crucial tool in your mathematical toolkit.

In conclusion, the domain of composite functions is a vital concept in mathematics that requires careful consideration of both the inner and outer functions. By following the steps outlined in this post and understanding the special cases, you can determine the domain of composite functions with confidence. This knowledge is essential for solving complex problems and gaining a deeper understanding of mathematical relationships. Whether you are a student, a professional, or an enthusiast, mastering the domain of composite functions will enhance your mathematical skills and broaden your problem-solving abilities.

Related Terms:

  • domain of each composite function
  • finding domain of composite functions
  • domain of composite functions calculator
  • domain of composite functions practice
  • finding domain of functions worksheet