Disclosure And Nondisclosure

Disclosure And Nondisclosure

In the dynamic world of business and technology, the concepts of Disclosure And Nondisclosure agreements play a pivotal role in protecting sensitive information and fostering trust between parties. These legal documents are essential for safeguarding intellectual property, trade secrets, and confidential information. Understanding the intricacies of Disclosure And Nondisclosure agreements is crucial for anyone involved in business transactions, partnerships, or collaborations.

Understanding Disclosure And Nondisclosure Agreements

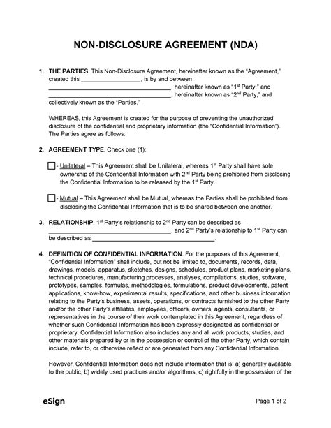
A Disclosure And Nondisclosure agreement, often referred to as an NDA, is a legal contract that outlines confidential material, knowledge, or information that the parties wish to share with one another for certain purposes, but wish to restrict access to or by third parties. It is a contract through which the parties agree not to disclose information covered by the agreement. NDAs are commonly used when two companies, individuals, or other entities (such as partnerships, corporations, LLCs, etc.) are considering doing business and need to understand the processes used in each other's business for the purpose of evaluating the potential business relationship. NDAs can be "mutual," meaning both parties are disclosing information to each other, or they can be "unilateral," meaning only one party is disclosing information.

Types of Disclosure And Nondisclosure Agreements

There are several types of Disclosure And Nondisclosure agreements, each serving different purposes and scenarios. The most common types include:

  • Unilateral NDA: This type of agreement is used when only one party is disclosing confidential information. It is often used when a company shares sensitive information with an employee, contractor, or potential business partner.
  • Mutual NDA: Also known as a bilateral NDA, this agreement is used when both parties are disclosing confidential information to each other. It is common in joint ventures, partnerships, and collaborations where both parties need to share sensitive information.
  • Multilateral NDA: This type of agreement involves more than two parties. It is used when multiple entities need to share confidential information with each other, such as in a consortium or a joint research project.
  • Employment NDA: This agreement is specifically designed for employment relationships. It ensures that employees do not disclose confidential information about the company during or after their employment.

Key Elements of a Disclosure And Nondisclosure Agreement

A well-crafted Disclosure And Nondisclosure agreement should include several key elements to ensure its effectiveness and enforceability. These elements include:

  • Definition of Confidential Information: Clearly define what constitutes confidential information. This can include trade secrets, proprietary information, business plans, financial information, and any other sensitive data.
  • Purpose of Disclosure: Specify the purpose for which the confidential information is being disclosed. This helps to limit the scope of the disclosure and ensures that the information is used only for the intended purpose.
  • Obligations of the Receiving Party: Outline the obligations of the receiving party, including the duty to keep the information confidential, not to use it for any purpose other than the agreed-upon purpose, and not to disclose it to third parties.
  • Exclusions from Confidentiality: Identify information that is not considered confidential. This can include information that is already known to the receiving party, information that becomes publicly available, or information that is independently developed by the receiving party.
  • Term of the Agreement: Specify the duration of the agreement. This can be a fixed period or an indefinite period, depending on the nature of the information and the relationship between the parties.
  • Remedies for Breach: Outline the remedies available in case of a breach of the agreement. This can include injunctive relief, damages, and other legal remedies.

Importance of Disclosure And Nondisclosure Agreements

Disclosure And Nondisclosure agreements are crucial for protecting sensitive information and maintaining competitive advantages. Here are some reasons why these agreements are important:

  • Protection of Intellectual Property: NDAs help protect intellectual property, such as patents, trademarks, and copyrights, by preventing unauthorized disclosure and use.
  • Maintenance of Trade Secrets: Trade secrets are a valuable asset for many businesses. NDAs ensure that these secrets remain confidential and are not disclosed to competitors or the public.
  • Building Trust: By entering into an NDA, parties demonstrate their commitment to protecting each other's confidential information, which helps build trust and foster a collaborative relationship.
  • Legal Compliance: NDAs help businesses comply with legal requirements and regulations related to the protection of confidential information. This is particularly important in industries with strict data protection laws.

Drafting a Disclosure And Nondisclosure Agreement

Drafting a Disclosure And Nondisclosure agreement requires careful consideration and attention to detail. Here are the steps involved in drafting an effective NDA:

  • Identify the Parties: Clearly identify the parties involved in the agreement, including their names, addresses, and roles.
  • Define the Purpose: Specify the purpose for which the confidential information is being disclosed. This helps to limit the scope of the disclosure and ensures that the information is used only for the intended purpose.
  • Describe the Confidential Information: Provide a detailed description of the confidential information that will be disclosed. This can include specific documents, data, or types of information.
  • Outline the Obligations: Clearly outline the obligations of the receiving party, including the duty to keep the information confidential, not to use it for any purpose other than the agreed-upon purpose, and not to disclose it to third parties.
  • Specify the Term: Specify the duration of the agreement. This can be a fixed period or an indefinite period, depending on the nature of the information and the relationship between the parties.
  • Include Remedies for Breach: Outline the remedies available in case of a breach of the agreement. This can include injunctive relief, damages, and other legal remedies.
  • Review and Sign: Have both parties review the agreement carefully and sign it to make it legally binding.

📝 Note: It is advisable to consult with a legal professional when drafting a Disclosure And Nondisclosure agreement to ensure that it is comprehensive and enforceable.

Common Mistakes to Avoid in Disclosure And Nondisclosure Agreements

When drafting and implementing Disclosure And Nondisclosure agreements, it is important to avoid common mistakes that can compromise the effectiveness of the agreement. Some of these mistakes include:

  • Vague Definitions: Avoid using vague or broad definitions of confidential information. Be specific about what information is considered confidential.
  • Inadequate Scope: Ensure that the scope of the agreement covers all relevant aspects of the disclosure, including the purpose, duration, and obligations of the parties.
  • Lack of Clarity: Make sure the agreement is clear and unambiguous. Avoid using legal jargon that may confuse the parties involved.
  • Insufficient Remedies: Include adequate remedies for breach of the agreement to deter unauthorized disclosure and use of confidential information.
  • Failure to Update: Regularly review and update the agreement to reflect changes in the relationship between the parties or in the nature of the confidential information.

Best Practices for Implementing Disclosure And Nondisclosure Agreements

To ensure the effective implementation of Disclosure And Nondisclosure agreements, consider the following best practices:

  • Conduct a Thorough Review: Before entering into an NDA, conduct a thorough review of the agreement to ensure that it meets your needs and protects your interests.
  • Seek Legal Advice: Consult with a legal professional to ensure that the agreement is comprehensive and enforceable.
  • Communicate Clearly: Clearly communicate the terms and conditions of the agreement to all parties involved to avoid misunderstandings.
  • Monitor Compliance: Regularly monitor compliance with the agreement to ensure that confidential information is being protected.
  • Update as Needed: Update the agreement as needed to reflect changes in the relationship between the parties or in the nature of the confidential information.

Case Studies: Real-World Applications of Disclosure And Nondisclosure Agreements

To illustrate the importance and application of Disclosure And Nondisclosure agreements, let's examine a few real-world case studies:

Case Study 1: Tech Startup and Investor

A tech startup is seeking investment from a venture capital firm. The startup needs to disclose sensitive information about its technology, business model, and financial projections to the investor. To protect this information, the startup and the investor enter into a mutual NDA. The agreement outlines the confidential information, the purpose of the disclosure, the obligations of the investor, and the remedies for breach. This ensures that the investor can evaluate the startup's potential without compromising its confidential information.

Case Study 2: Pharmaceutical Company and Research Partner

A pharmaceutical company is collaborating with a research partner to develop a new drug. Both parties need to share confidential information, including research data, intellectual property, and trade secrets. To protect this information, the companies enter into a mutual NDA. The agreement specifies the confidential information, the purpose of the disclosure, the obligations of both parties, and the remedies for breach. This ensures that the collaboration can proceed smoothly while protecting the confidential information of both parties.

Case Study 3: Employment Agreement

A company hires a new employee who will have access to sensitive information, such as customer data, trade secrets, and proprietary technology. To protect this information, the company includes an employment NDA in the employment agreement. The NDA outlines the confidential information, the employee's obligations, and the remedies for breach. This ensures that the employee understands the importance of protecting the company's confidential information and the consequences of a breach.

Conclusion

Disclosure And Nondisclosure agreements are essential tools for protecting sensitive information and fostering trust between parties. Whether you are a startup seeking investment, a company collaborating with a research partner, or an employer hiring new talent, understanding and implementing effective NDAs is crucial. By clearly defining confidential information, outlining obligations, and specifying remedies for breach, you can ensure that your sensitive information remains protected. Regularly reviewing and updating your NDAs, seeking legal advice, and communicating clearly with all parties involved will help you maximize the benefits of these agreements and minimize the risks associated with unauthorized disclosure and use of confidential information.

Related Terms:

  • non disclosure agreements nda
  • practical law non disclosure agreement
  • non disclosure agreement clauses
  • are non disclosure agreements enforceable
  • non disclosure agreement law
  • non disclosure agreements law society