Differentiation Of Sec2x

Differentiation Of Sec2x

Understanding the differentiation of sec²x is crucial for students and professionals in fields such as mathematics, physics, and engineering. This function, which is the square of the secant function, has unique properties and applications that make it a fundamental concept in calculus. In this post, we will delve into the differentiation of sec²x, exploring its derivation, applications, and related concepts.

Understanding the Secant Function

The secant function, denoted as sec(x), is the reciprocal of the cosine function. It is defined as:

sec(x) = 1 / cos(x)

This function is periodic and has vertical asymptotes at x = (2n+1)π/2, where n is an integer. Understanding the secant function is essential before diving into the differentiation of sec²x.

Derivation of the Differentiation of sec²x

To find the derivative of sec²x, we start with the basic differentiation rules. The secant function squared can be written as:

sec²x = (sec(x))²

Using the chain rule, we differentiate sec²x as follows:

d/dx [sec²x] = d/dx [(sec(x))²]

Let u = sec(x), then sec²x = u². The derivative of u² with respect to x is:

d/dx [u²] = 2u * du/dx

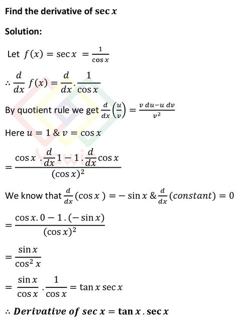
Now, we need to find du/dx, which is the derivative of sec(x). The derivative of sec(x) is:

d/dx [sec(x)] = sec(x) * tan(x)

Substituting u = sec(x) and du/dx = sec(x) * tan(x) into the chain rule expression, we get:

d/dx [sec²x] = 2 * sec(x) * sec(x) * tan(x)

Simplifying, we obtain:

d/dx [sec²x] = 2 * sec²x * tan(x)

This is the derivative of sec²x.

Applications of the Differentiation of sec²x

The differentiation of sec²x has various applications in mathematics and other fields. Some of the key applications include:

  • Calculus Problems: The derivative of sec²x is often used in solving calculus problems involving optimization, related rates, and curve sketching.
  • Physics: In physics, the secant function and its derivatives are used in the study of wave motion, optics, and other areas involving trigonometric functions.
  • Engineering: Engineers use the differentiation of sec²x in signal processing, control systems, and other fields where trigonometric functions are prevalent.

To fully understand the differentiation of sec²x, it is helpful to explore related concepts and functions. Some of these include:

  • Cosecant Function: The cosecant function, csc(x), is the reciprocal of the sine function. Its derivative and properties are similar to those of the secant function.
  • Cotangent Function: The cotangent function, cot(x), is the reciprocal of the tangent function. It is related to the secant function through trigonometric identities.
  • Hyperbolic Functions: The hyperbolic secant function, sech(x), and its derivatives are analogous to the secant function and its derivatives in trigonometry.

Examples and Practice Problems

To solidify your understanding of the differentiation of sec²x, it is essential to work through examples and practice problems. Here are a few examples to get you started:

Example 1: Find the derivative of sec²(3x).

Using the chain rule, we have:

d/dx [sec²(3x)] = 2 * sec²(3x) * tan(3x) * d/dx [3x]

Simplifying, we get:

d/dx [sec²(3x)] = 6 * sec²(3x) * tan(3x)

Example 2: Find the derivative of sec²(x) * cos(x).

Using the product rule, we have:

d/dx [sec²(x) * cos(x)] = (d/dx [sec²(x)]) * cos(x) + sec²(x) * (d/dx [cos(x)])

Substituting the derivatives, we get:

d/dx [sec²(x) * cos(x)] = (2 * sec²(x) * tan(x)) * cos(x) + sec²(x) * (-sin(x))

Simplifying, we obtain:

d/dx [sec²(x) * cos(x)] = 2 * sec²(x) * sin(x) - sec²(x) * sin(x)

d/dx [sec²(x) * cos(x)] = sec²(x) * sin(x)

💡 Note: When working with trigonometric functions, it is essential to remember the derivatives of basic functions and apply the chain rule and product rule as needed.

Visualizing the Differentiation of sec²x

Visualizing the differentiation of sec²x can help reinforce your understanding of the concept. Below is a graph of sec²x and its derivative:

Graph of sec²x and its derivative

Conclusion

The differentiation of sec²x is a fundamental concept in calculus with wide-ranging applications in mathematics, physics, and engineering. By understanding the derivation, applications, and related concepts, you can gain a deeper appreciation for this important trigonometric function. Practice problems and visualizations can further enhance your understanding and proficiency in working with sec²x and its derivatives.

Related Terms:

  • differential of sec 2 x
  • differentiation of secx 2
  • antiderivative of sec 2 x
  • sec 2x is equal to
  • sec 2x formula
  • how to differentiate sec 2x