Differentiate Sinx Cosx

Differentiate Sinx Cosx

Understanding trigonometric functions is fundamental in mathematics, particularly when dealing with differentiate sinx cosx. These functions are essential in various fields, including physics, engineering, and computer science. This post will delve into the differentiation of trigonometric functions, focusing on how to differentiate sin(x) and cos(x), and their applications.

Understanding Trigonometric Functions

Trigonometric functions are periodic functions that describe the relationship between angles and the sides of a right triangle. The two primary trigonometric functions are sine (sin) and cosine (cos). These functions are defined for all real numbers and are crucial in solving problems involving waves, rotations, and periodic phenomena.

Differentiation of Trigonometric Functions

Differentiation is the process of finding the derivative of a function, which represents the rate at which the function is changing at any given point. For trigonometric functions, the derivatives are as follows:

  • Derivative of sin(x): The derivative of sin(x) is cos(x). This means that the rate of change of the sine function at any point is given by the cosine function at that point.
  • Derivative of cos(x): The derivative of cos(x) is -sin(x). This indicates that the rate of change of the cosine function at any point is given by the negative sine function at that point.

Differentiating sin(x) and cos(x)

To differentiate sin(x) and cos(x), we use the following formulas:

  • sin(x): The derivative of sin(x) is cos(x).
  • cos(x): The derivative of cos(x) is -sin(x).

Let's go through some examples to illustrate these concepts.

Example 1: Differentiate sin(x)

To differentiate sin(x), we apply the formula:

d/dx [sin(x)] = cos(x)

So, the derivative of sin(x) is cos(x).

Example 2: Differentiate cos(x)

To differentiate cos(x), we apply the formula:

d/dx [cos(x)] = -sin(x)

So, the derivative of cos(x) is -sin(x).

Applications of Differentiating sin(x) and cos(x)

The ability to differentiate sin(x) and cos(x) is crucial in various applications. Here are a few key areas where these differentiations are used:

  • Physics: In physics, trigonometric functions are used to describe waves, such as sound waves and light waves. Differentiating these functions helps in understanding the velocity and acceleration of particles in wave motion.
  • Engineering: In engineering, trigonometric functions are used in the design of circuits, structures, and mechanical systems. Differentiating these functions helps in analyzing the behavior of these systems under various conditions.
  • Computer Science: In computer science, trigonometric functions are used in graphics and animation. Differentiating these functions helps in creating smooth and realistic movements in animations.

Advanced Differentiation Techniques

Beyond the basic differentiation of sin(x) and cos(x), there are more advanced techniques that involve combining these functions with other mathematical operations. These techniques include the product rule, quotient rule, and chain rule.

Product Rule

The product rule is used to differentiate the product of two functions. If we have two functions f(x) and g(x), the product rule states:

d/dx [f(x) * g(x)] = f'(x) * g(x) + f(x) * g'(x)

For example, if we want to differentiate sin(x) * cos(x), we apply the product rule:

d/dx [sin(x) * cos(x)] = cos(x) * cos(x) + sin(x) * (-sin(x))

= cos^2(x) - sin^2(x)

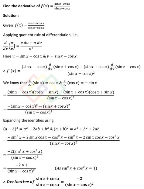
Quotient Rule

The quotient rule is used to differentiate the quotient of two functions. If we have two functions f(x) and g(x), the quotient rule states:

d/dx [f(x) / g(x)] = [f'(x) * g(x) - f(x) * g'(x)] / [g(x)]^2

For example, if we want to differentiate sin(x) / cos(x), we apply the quotient rule:

d/dx [sin(x) / cos(x)] = [cos(x) * cos(x) - sin(x) * (-sin(x))] / [cos(x)]^2

= [cos^2(x) + sin^2(x)] / cos^2(x)

= 1 / cos^2(x)

Chain Rule

The chain rule is used to differentiate composite functions. If we have a function f(g(x)), the chain rule states:

d/dx [f(g(x))] = f'(g(x)) * g'(x)

For example, if we want to differentiate sin(2x), we apply the chain rule:

d/dx [sin(2x)] = cos(2x) * 2

= 2 * cos(2x)

💡 Note: The chain rule is particularly useful when dealing with trigonometric functions that are nested within other functions.

Common Mistakes to Avoid

When differentiating trigonometric functions, it’s essential to avoid common mistakes that can lead to incorrect results. Here are some tips to help you avoid these mistakes:

  • Memorize the Derivatives: Make sure you memorize the derivatives of sin(x) and cos(x) to avoid errors.
  • Apply the Correct Rule: Ensure you apply the correct differentiation rule (product, quotient, or chain rule) based on the function you are differentiating.
  • Check Your Work: Always double-check your work to ensure you have applied the differentiation rules correctly.

Practical Examples

Let’s go through some practical examples to solidify our understanding of differentiating sin(x) and cos(x).

Example 3: Differentiate sin(3x)

To differentiate sin(3x), we apply the chain rule:

d/dx [sin(3x)] = cos(3x) * 3

= 3 * cos(3x)

Example 4: Differentiate cos(4x)

To differentiate cos(4x), we apply the chain rule:

d/dx [cos(4x)] = -sin(4x) * 4

= -4 * sin(4x)

Example 5: Differentiate sin(x) * cos(x)

To differentiate sin(x) * cos(x), we apply the product rule:

d/dx [sin(x) * cos(x)] = cos(x) * cos(x) + sin(x) * (-sin(x))

= cos^2(x) - sin^2(x)

Example 6: Differentiate sin(x) / cos(x)

To differentiate sin(x) / cos(x), we apply the quotient rule:

d/dx [sin(x) / cos(x)] = [cos(x) * cos(x) - sin(x) * (-sin(x))] / [cos(x)]^2

= [cos^2(x) + sin^2(x)] / cos^2(x)

= 1 / cos^2(x)

These examples illustrate how to apply the differentiation rules to trigonometric functions. By practicing these techniques, you can become proficient in differentiating sin(x) and cos(x) in various contexts.

Conclusion

Differentiating trigonometric functions, particularly differentiate sinx cosx, is a fundamental skill in mathematics with wide-ranging applications. Understanding the derivatives of sin(x) and cos(x) and applying the appropriate differentiation rules is crucial for solving problems in physics, engineering, and computer science. By mastering these techniques, you can gain a deeper understanding of trigonometric functions and their role in various fields.

Related Terms:

  • sin x divided by cos
  • sin x cos formula
  • sin x terms of cos
  • sinx cos x formula
  • value of sin cos
  • sin x cos 1