Curie Point Temperature

Curie Point Temperature

Understanding the Curie Point Temperature is crucial for anyone involved in the study of magnetism, materials science, or related fields. This temperature marks a critical point where a material's magnetic properties undergo a significant change. Whether you're a student, researcher, or enthusiast, grasping the concept of the Curie Point Temperature can provide valuable insights into the behavior of magnetic materials.

What is the Curie Point Temperature?

The Curie Point Temperature, named after the French physicist Pierre Curie, is the temperature at which certain materials lose their permanent magnetic properties. Above this temperature, the material becomes paramagnetic, meaning it can still be magnetized but only in the presence of an external magnetic field. Below the Curie Point Temperature, the material exhibits ferromagnetism, where it retains its magnetic properties even in the absence of an external field.

Historical Background

The discovery of the Curie Point Temperature is attributed to Pierre Curie, who, along with his wife Marie Curie, made significant contributions to the field of physics. In 1895, Pierre Curie observed that the magnetic properties of certain materials, such as iron and nickel, disappeared at specific temperatures. This observation laid the foundation for the concept of the Curie Point Temperature, which has since become a fundamental principle in the study of magnetism.

Importance of the Curie Point Temperature

The Curie Point Temperature is of paramount importance in various scientific and industrial applications. Understanding this temperature helps in the development of magnetic materials for different purposes, including:

  • Data Storage: Magnetic materials with specific Curie Point Temperatures are used in data storage devices like hard drives and magnetic tapes.
  • Electronics: In the electronics industry, materials with controlled magnetic properties are essential for components like transformers and inductors.
  • Medical Applications: Magnetic materials are used in medical imaging techniques such as Magnetic Resonance Imaging (MRI).
  • Energy Conversion: In energy conversion devices, magnetic materials play a crucial role in generating and converting electrical energy.

Factors Affecting the Curie Point Temperature

Several factors influence the Curie Point Temperature of a material. These include:

  • Composition: The chemical composition of the material significantly affects its Curie Point Temperature. For example, pure iron has a higher Curie Point Temperature compared to iron alloys.
  • Crystal Structure: The arrangement of atoms in the crystal lattice can alter the magnetic properties and, consequently, the Curie Point Temperature.
  • External Fields: The presence of external magnetic or electric fields can temporarily change the magnetic behavior of a material, affecting its Curie Point Temperature.
  • Temperature: As the temperature approaches the Curie Point, the magnetic domains within the material begin to align randomly, leading to a loss of magnetic properties.

Measurement Techniques

Measuring the Curie Point Temperature involves several techniques, each with its own advantages and limitations. Some of the commonly used methods include:

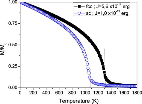
  • Thermomagnetic Analysis: This technique involves heating the material while monitoring its magnetic properties. The Curie Point Temperature is identified as the point where the material's magnetization drops to zero.
  • Differential Scanning Calorimetry (DSC): DSC measures the heat flow associated with phase transitions in materials. The Curie Point Temperature can be determined by observing the heat flow changes during heating or cooling.
  • Magnetic Susceptibility Measurements: This method involves measuring the material's magnetic susceptibility as a function of temperature. The Curie Point Temperature is identified as the temperature at which the susceptibility shows a significant change.

🔍 Note: The choice of measurement technique depends on the specific requirements of the application and the properties of the material being studied.

Applications of the Curie Point Temperature

The Curie Point Temperature has wide-ranging applications in various fields. Some of the key areas where this concept is applied include:

  • Material Science: Researchers use the Curie Point Temperature to develop new magnetic materials with tailored properties for specific applications.
  • Industrial Processes: In industries such as metallurgy and manufacturing, understanding the Curie Point Temperature helps in optimizing processes that involve heating and cooling of magnetic materials.
  • Geophysics: The study of the Earth's magnetic field and the behavior of magnetic minerals in the crust involves understanding the Curie Point Temperature.
  • Aerospace: Magnetic materials with specific Curie Point Temperatures are used in aerospace applications, such as in sensors and actuators.

Examples of Materials and Their Curie Point Temperatures

Different materials have varying Curie Point Temperatures. Here are some examples:

Material Curie Point Temperature (°C)
Iron (Fe) 770
Nickel (Ni) 358
Cobalt (Co) 1121
Gadolinium (Gd) 19
Dysprosium (Dy) 88

Challenges and Future Directions

While the concept of the Curie Point Temperature is well-established, there are still challenges and areas for future research. Some of the key challenges include:

  • Precision Measurement: Achieving precise and accurate measurements of the Curie Point Temperature, especially for materials with complex magnetic behaviors, remains a challenge.
  • Material Development: Developing new magnetic materials with tailored Curie Point Temperatures for specific applications is an ongoing area of research.
  • Theoretical Understanding: Enhancing the theoretical understanding of the magnetic properties of materials and their behavior at the Curie Point Temperature is crucial for advancing the field.

Future research in this area is likely to focus on developing more advanced measurement techniques, exploring new magnetic materials, and deepening our theoretical understanding of magnetic phenomena.

In conclusion, the Curie Point Temperature is a fundamental concept in the study of magnetism and materials science. Understanding this temperature is essential for developing magnetic materials with specific properties for various applications. From data storage to medical imaging, the Curie Point Temperature plays a crucial role in many technological advancements. As research continues, we can expect to see further developments in this field, leading to new and innovative applications of magnetic materials.

Related Terms:

  • curie temperature of ferromagnetic material
  • which magnetism shows curie temperature
  • what is a curie temperature
  • curie point meaning
  • curie temperature wikipedia
  • curie temperature meaning