Cos 2X 1

Cos 2X 1

Understanding the trigonometric identity Cos 2X 1 is fundamental for anyone delving into the world of mathematics, particularly in the realms of calculus, physics, and engineering. This identity, which relates to the double-angle formula for cosine, is a cornerstone in simplifying complex trigonometric expressions and solving intricate problems. Let's dive into the details of Cos 2X 1, its applications, and how it can be derived.

Understanding the Double-Angle Formula

The double-angle formula for cosine is a crucial identity that allows us to express the cosine of twice an angle in terms of the cosine and sine of the angle itself. The formula is given by:

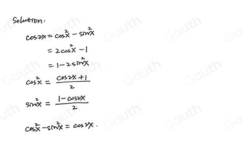
Cos 2X = 2Cos²X - 1

This formula can be rearranged to solve for Cos 2X 1, which is:

Cos 2X 1 = 2Cos²X - 2

This identity is particularly useful in various mathematical and scientific contexts, as it simplifies the process of solving trigonometric equations and understanding periodic functions.

Derivation of the Double-Angle Formula

To understand how the double-angle formula for cosine is derived, let's start with the basic trigonometric identities. The cosine of an angle X can be expressed using the unit circle, where:

Cos X = Adjacent / Hypotenuse

For an angle 2X, the cosine can be derived using the angle addition formula:

Cos 2X = Cos(X + X) = Cos X Cos X - Sin X Sin X

Using the Pythagorean identity, Sin²X + Cos²X = 1, we can rewrite the sine term:

Sin X = √(1 - Cos²X)

Substituting this into the cosine addition formula, we get:

Cos 2X = Cos²X - (√(1 - Cos²X))²

Simplifying further, we obtain:

Cos 2X = Cos²X - (1 - Cos²X) = 2Cos²X - 1

This derivation shows how the double-angle formula for cosine is derived from basic trigonometric identities.

Applications of Cos 2X 1

The identity Cos 2X 1 has numerous applications in various fields. Here are some key areas where this identity is commonly used:

  • Calculus: In calculus, the double-angle formula is used to simplify derivatives and integrals involving trigonometric functions. For example, when differentiating or integrating functions like Cos 2X, the identity helps in breaking down the expression into simpler components.
  • Physics: In physics, trigonometric identities are essential for solving problems related to waves, oscillations, and periodic motion. The identity Cos 2X 1 is used to analyze the behavior of waves and understand the relationship between different trigonometric functions.
  • Engineering: Engineers use trigonometric identities to design and analyze systems involving periodic signals, such as electrical circuits and mechanical systems. The identity Cos 2X 1 is particularly useful in signal processing and control systems.

Solving Trigonometric Equations

One of the most practical applications of the identity Cos 2X 1 is in solving trigonometric equations. Let's consider an example to illustrate how this identity can be used:

Suppose we have the equation:

Cos 2X = 0.5

Using the double-angle formula, we can rewrite this as:

2Cos²X - 1 = 0.5

Solving for Cos²X, we get:

2Cos²X = 1.5

Cos²X = 0.75

Taking the square root of both sides, we find:

Cos X = ±√0.75

This gives us the solutions for X. The identity Cos 2X 1 simplifies the process of solving such equations by providing a direct relationship between the cosine of twice an angle and the cosine of the angle itself.

💡 Note: When solving trigonometric equations, it's important to consider all possible solutions, including those that may involve negative values or multiple angles.

Periodic Functions and Wave Analysis

In the study of periodic functions and wave analysis, the identity Cos 2X 1 plays a crucial role. Periodic functions are those that repeat their values in regular intervals, and trigonometric functions are prime examples of such functions. The double-angle formula helps in understanding the behavior of these functions and their relationships.

For instance, consider a wave function described by Cos 2X. The identity Cos 2X 1 allows us to express this function in terms of Cos X, making it easier to analyze its properties and behavior over time.

In wave analysis, the identity is used to determine the amplitude, frequency, and phase of waves. By understanding the relationship between Cos 2X and Cos X, we can gain insights into how waves propagate and interact with each other.

Signal Processing

In signal processing, trigonometric identities are essential for analyzing and manipulating signals. The identity Cos 2X 1 is particularly useful in the context of Fourier analysis, where signals are decomposed into their constituent frequencies. By using the double-angle formula, we can simplify the process of analyzing signals and understanding their frequency components.

For example, consider a signal described by Cos 2X. The identity Cos 2X 1 allows us to express this signal in terms of Cos X, making it easier to analyze its frequency content and understand its behavior over time.

In control systems, the identity is used to design filters and controllers that can manipulate signals to achieve desired outcomes. By understanding the relationship between Cos 2X and Cos X, engineers can design systems that are more efficient and effective in processing signals.

Examples and Practice Problems

To solidify your understanding of the identity Cos 2X 1, let's go through some examples and practice problems. These examples will help you apply the identity in various contexts and gain a deeper understanding of its applications.

Example 1: Simplify the expression Cos 2X + 1.

Using the double-angle formula, we can rewrite Cos 2X as 2Cos²X - 1. Therefore, the expression becomes:

Cos 2X + 1 = 2Cos²X - 1 + 1 = 2Cos²X

Example 2: Solve the equation Cos 2X = -0.5.

Using the double-angle formula, we can rewrite this as:

2Cos²X - 1 = -0.5

Solving for Cos²X, we get:

2Cos²X = 0.5

Cos²X = 0.25

Taking the square root of both sides, we find:

Cos X = ±0.5

This gives us the solutions for X. The identity Cos 2X 1 simplifies the process of solving such equations by providing a direct relationship between the cosine of twice an angle and the cosine of the angle itself.

Practice Problem 1: Simplify the expression Cos 2X - 1.

Practice Problem 2: Solve the equation Cos 2X = 0.75.

Practice Problem 3: Express Cos 2X in terms of Sin X using the identity Cos 2X 1.

Practice Problem 4: Analyze the wave function Cos 2X using the identity Cos 2X 1 and determine its amplitude and frequency.

Practice Problem 5: Design a filter in a control system using the identity Cos 2X 1 to manipulate a signal described by Cos 2X.

Advanced Topics and Extensions

For those interested in delving deeper into the world of trigonometric identities, there are several advanced topics and extensions that build upon the identity Cos 2X 1. These topics include:

  • Triple-Angle Formulas: Extending the double-angle formula to triple-angle formulas, such as Cos 3X, provides further insights into the behavior of trigonometric functions.
  • Half-Angle Formulas: The half-angle formulas, such as Cos X/2, are derived from the double-angle formulas and are useful in various mathematical and scientific contexts.
  • Product-to-Sum Formulas: These formulas allow us to express the product of trigonometric functions as a sum, which can be useful in simplifying complex expressions.
  • Sum-to-Product Formulas: Conversely, these formulas allow us to express the sum of trigonometric functions as a product, providing another tool for simplifying expressions.

These advanced topics and extensions build upon the foundation provided by the identity Cos 2X 1 and offer a deeper understanding of trigonometric functions and their applications.

💡 Note: Exploring these advanced topics requires a solid understanding of basic trigonometric identities and their applications. It's important to build a strong foundation before delving into more complex areas.

Historical Context and Significance

The study of trigonometric identities, including Cos 2X 1, has a rich historical context that dates back to ancient civilizations. The Greeks, Indians, and Arabs made significant contributions to the development of trigonometry, laying the groundwork for modern mathematical concepts.

In the 16th century, European mathematicians such as Copernicus and Kepler further advanced the field of trigonometry, using it to describe the motion of celestial bodies. The double-angle formula for cosine, and by extension Cos 2X 1, played a crucial role in these developments, providing a powerful tool for analyzing periodic phenomena.

Today, trigonometric identities continue to be an essential part of mathematics and science, with applications ranging from engineering and physics to computer graphics and signal processing. The identity Cos 2X 1 remains a cornerstone in the study of trigonometric functions and their properties.

In summary, the identity Cos 2X 1 is a fundamental concept in trigonometry with wide-ranging applications in various fields. By understanding this identity and its derivations, we can gain a deeper appreciation for the beauty and utility of trigonometric functions. Whether you're a student, a researcher, or a professional, mastering Cos 2X 1 will enhance your ability to solve complex problems and analyze periodic phenomena.

In conclusion, the identity Cos 2X 1 is a powerful tool in the world of mathematics and science. Its applications range from calculus and physics to engineering and signal processing, making it an essential concept for anyone studying trigonometry. By understanding the derivation and applications of Cos 2X 1, we can gain a deeper appreciation for the beauty and utility of trigonometric functions. Whether you’re a student, a researcher, or a professional, mastering Cos 2X 1 will enhance your ability to solve complex problems and analyze periodic phenomena.

Related Terms:

  • 1 cos 2 x formula
  • cos 2x trig identity
  • what does 1 cos 2x equal
  • cos 2x 1 formula
  • 1 cos 2x identities
  • 1 cos 2 x identity