Common Maclaurin Series

Common Maclaurin Series

Understanding the Common Maclaurin Series is fundamental for anyone delving into the world of calculus and mathematical analysis. The Maclaurin series is a specific type of Taylor series that represents a function as an infinite sum of terms calculated from the values of its derivatives at a single point, typically zero. This series is particularly useful for approximating functions and understanding their behavior near a specific point.

What is the Common Maclaurin Series?

The Common Maclaurin Series is a power series representation of a function f(x) about the point x = 0. It is named after the Scottish mathematician Colin Maclaurin, who made significant contributions to the development of this series. The general form of a Maclaurin series is given by:

f(x) = f(0) + f’(0)x + (f”(0)/2!)x² + (f”‘(0)/3!)x³ + …

Where f(0), f’(0), f”(0), etc., are the values of the function and its derivatives at x = 0.

Derivation of the Common Maclaurin Series

The derivation of the Common Maclaurin Series involves expanding a function into a power series. Here are the steps to derive the Maclaurin series for a function f(x):

  1. Evaluate the function at x = 0: f(0).
  2. Compute the first derivative of the function and evaluate it at x = 0: f’(0).
  3. Compute the second derivative of the function and evaluate it at x = 0: f”(0).
  4. Continue this process for higher-order derivatives.
  5. Write the series using the evaluated derivatives:

    f(x) = f(0) + f’(0)x + (f”(0)/2!)x² + (f”‘(0)/3!)x³ + …

Examples of Common Maclaurin Series

Let’s look at a few examples of Common Maclaurin Series for some well-known functions.

Example 1: Exponential Function

The exponential function e^x has a Maclaurin series given by:

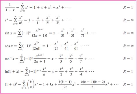
e^x = 1 + x + (x²/2!) + (x³/3!) + …

This series converges for all x in the real numbers.

Example 2: Sine Function

The sine function sin(x) has a Maclaurin series given by:

sin(x) = x - (x³/3!) + (x⁵/5!) - (x⁷/7!) + …

This series converges for all x in the real numbers.

Example 3: Cosine Function

The cosine function cos(x) has a Maclaurin series given by:

cos(x) = 1 - (x²/2!) + (x⁴/4!) - (x⁶/6!) + …

This series also converges for all x in the real numbers.

Applications of the Common Maclaurin Series

The Common Maclaurin Series has numerous applications in mathematics, physics, and engineering. Some of the key applications include:

  • Approximation of Functions: The Maclaurin series can be used to approximate functions, especially when the higher-order terms are small. This is particularly useful in numerical analysis and computational mathematics.
  • Solving Differential Equations: The series can be used to solve differential equations by expressing the solution as a power series.
  • Analyzing Convergence: The series helps in understanding the convergence properties of functions, which is crucial in mathematical analysis.
  • Physical Sciences: In physics, the Maclaurin series is used to approximate physical quantities and understand the behavior of systems near equilibrium.

Convergence of the Common Maclaurin Series

The convergence of a Maclaurin series is a critical aspect to consider. A series converges if the sum of its terms approaches a finite limit as the number of terms increases. The radius of convergence is the interval around x = 0 within which the series converges.

For example, the Maclaurin series for e^x converges for all x in the real numbers, while the series for sin(x) and cos(x) also converge for all x.

Important Considerations

When working with the Common Maclaurin Series, it is essential to keep the following points in mind:

  • Domain of Convergence: Determine the domain within which the series converges. This is crucial for ensuring the accuracy of approximations.
  • Error Analysis: Understand the error introduced by truncating the series. This involves analyzing the remainder term, which is the difference between the function and the partial sum of the series.
  • Computational Efficiency: Consider the computational efficiency of evaluating the series, especially for higher-order terms.

📝 Note: The Maclaurin series is a powerful tool, but it should be used with caution, especially when dealing with functions that have singularities or discontinuities within the domain of interest.

Common Maclaurin Series for Trigonometric Functions

Trigonometric functions are fundamental in mathematics and have well-known Maclaurin series representations. Here is a table summarizing the Maclaurin series for some common trigonometric functions:

Function Maclaurin Series
sin(x) x - (x³/3!) + (x⁵/5!) - (x⁷/7!) + …
cos(x) 1 - (x²/2!) + (x⁴/4!) - (x⁶/6!) + …
tan(x) x + (x³/3) + (2x⁵/15) + …
sec(x) 1 + (x²/2) + (5x⁴/24) + …

Common Maclaurin Series for Exponential and Logarithmic Functions

Exponential and logarithmic functions are also commonly represented using Maclaurin series. Here are the series for these functions:

Exponential Function

The Maclaurin series for the exponential function e^x is:

e^x = 1 + x + (x²/2!) + (x³/3!) + …

Natural Logarithm

The Maclaurin series for the natural logarithm function ln(1+x) is:

ln(1+x) = x - (x²/2) + (x³/3) - (x⁴/4) + …

This series converges for -1 < x ≤ 1.

Common Maclaurin Series for Hyperbolic Functions

Hyperbolic functions are analogous to trigonometric functions but are defined using the exponential function. Here are the Maclaurin series for some common hyperbolic functions:

Hyperbolic Sine

The Maclaurin series for the hyperbolic sine function sinh(x) is:

sinh(x) = x + (x³/3!) + (x⁵/5!) + …

Hyperbolic Cosine

The Maclaurin series for the hyperbolic cosine function cosh(x) is:

cosh(x) = 1 + (x²/2!) + (x⁴/4!) + …

Common Maclaurin Series for Inverse Trigonometric Functions

Inverse trigonometric functions also have Maclaurin series representations. Here are the series for some common inverse trigonometric functions:

Arcsine

The Maclaurin series for the arcsine function sin⁻¹(x) is:

sin⁻¹(x) = x + (x³/6) + (3x⁵/40) + …

This series converges for -1 ≤ x ≤ 1.

Arctangent

The Maclaurin series for the arctangent function tan⁻¹(x) is:

tan⁻¹(x) = x - (x³/3) + (x⁵/5) - (x⁷/7) + …

This series converges for -1 < x < 1.

Understanding the Common Maclaurin Series is essential for anyone working in fields that require a deep understanding of calculus and mathematical analysis. By representing functions as power series, we gain insights into their behavior, approximations, and convergence properties. Whether you are a student, researcher, or professional, mastering the Maclaurin series will enhance your analytical skills and problem-solving abilities.

Related Terms:

  • list of common maclaurin series
  • maclaurin series for cos x
  • maclaurin series for common functions
  • common maclaurin series table
  • maclaurin and taylor series explained
  • common taylor series