Cidr Cheat Sheet

Cidr Cheat Sheet

Understanding and managing IP addresses and subnets is a critical skill for network administrators and IT professionals. One of the most useful tools for this purpose is the CIDR (Classless Inter-Domain Routing) notation. A Cidr Cheat Sheet can be an invaluable resource for quickly referencing CIDR ranges, subnet masks, and other essential information. This guide will walk you through the basics of CIDR, provide a comprehensive Cidr Cheat Sheet, and offer practical examples to help you master this essential networking concept.

What is CIDR?

CIDR is a method for allocating IP addresses and for IP routing. It replaces the older class-based addressing scheme (Class A, B, and C) with a more flexible and efficient system. CIDR uses a variable-length subnet mask to specify the network and host portions of an IP address, allowing for more efficient use of IP address space.

Understanding CIDR Notation

CIDR notation is written as an IP address followed by a slash and a number, such as 192.168.1.0/24. The number after the slash indicates the number of bits used for the network portion of the address. For example, in 192.168.1.0/24, the /24 means that the first 24 bits are used for the network portion, and the remaining 8 bits are used for host addresses.

Cidr Cheat Sheet: Basic Concepts

To effectively use CIDR, it’s important to understand some basic concepts and formulas. Here are the key points to include in your Cidr Cheat Sheet:

  • IP Address Classes: Although CIDR has replaced the class-based system, it's still useful to understand the original classes:
    • Class A: 1.0.0.0 to 126.0.0.0 (128 networks, 16,777,216 hosts each)
    • Class B: 128.0.0.0 to 191.255.0.0 (16,384 networks, 65,536 hosts each)
    • Class C: 192.0.0.0 to 223.255.255.0 (2,097,152 networks, 256 hosts each)
  • Subnet Mask: A subnet mask determines which portion of an IP address is the network address and which portion is the host address. For example, a subnet mask of 255.255.255.0 (or /24) means the first 24 bits are for the network, and the last 8 bits are for hosts.
  • CIDR Prefix: The number after the slash in CIDR notation indicates the prefix length, which is the number of bits used for the network portion of the address.
  • Number of Hosts: The number of hosts that can be addressed in a subnet is calculated as 2^(32 - prefix length) - 2. The -2 accounts for the network address and the broadcast address.

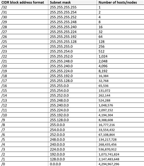
Cidr Cheat Sheet: Common CIDR Ranges

Here is a table of common CIDR ranges and their corresponding subnet masks and number of hosts:

CIDR Notation Subnet Mask Number of Hosts
/8 255.0.0.0 16,777,214
/16 255.255.0.0 65,534
/24 255.255.255.0 254
/28 255.255.255.240 14
/30 255.255.255.252 2

💡 Note: The number of hosts is calculated as 2^(32 - prefix length) - 2. The -2 accounts for the network address and the broadcast address.

Practical Examples of CIDR

Let’s go through some practical examples to illustrate how CIDR works in real-world scenarios.

Example 1: Subnetting a Class C Network

Suppose you have a Class C network with the IP address 192.168.1.0/24. You need to create four subnets, each with 64 hosts. Here’s how you can do it:

  • Determine the number of bits needed for the subnets: Since you need four subnets, you need 2 bits (2^2 = 4).
  • Determine the number of bits needed for hosts: Since each subnet needs 64 hosts, you need 6 bits (2^6 = 64).
  • Calculate the new subnet mask: The original subnet mask is /24. Adding 2 bits for subnets gives you /26.
  • Calculate the new subnet addresses: The subnets will be 192.168.1.0/26, 192.168.1.64/26, 192.168.1.128/26, and 192.168.1.192/26.

Example 2: Supernetting

Supernetting is the process of combining multiple contiguous networks into a single larger network. For example, suppose you have the following networks: 192.168.1.0/24, 192.168.2.0/24, and 192.168.3.0/24. You can combine these into a single /22 network:

  • Determine the common prefix: The first 22 bits are common to all three networks.
  • Calculate the new subnet mask: The new subnet mask is /22.
  • Calculate the new network address: The new network address is 192.168.0.0/22.

💡 Note: Supernetting is useful for summarizing routes in routing tables, reducing the number of routes that need to be advertised.

Advanced CIDR Concepts

Once you’re comfortable with the basics, you can explore more advanced CIDR concepts to further enhance your networking skills.

Variable-Length Subnet Masking (VLSM)

VLSM allows you to use different subnet masks within the same network, enabling more efficient use of IP address space. For example, you can use a /28 subnet mask for one part of the network and a /24 subnet mask for another part, depending on the number of hosts required.

Classless Routing

Classless routing refers to the practice of routing based on CIDR notation rather than the traditional class-based system. This allows for more flexible and efficient routing, as routers can aggregate routes and reduce the size of routing tables.

CIDR and IPv6

CIDR is also used with IPv6, although the addressing scheme is different. IPv6 addresses are 128 bits long, and CIDR notation is used to specify the network portion of the address. For example, an IPv6 address might be written as 2001:0db8::/32, where /32 indicates the number of bits used for the network portion.

CIDR is a powerful tool for managing IP addresses and subnets efficiently. By understanding the basics of CIDR notation, subnet masks, and common CIDR ranges, you can effectively design and implement networks that make the most of available IP address space. Whether you're a network administrator, IT professional, or student, a Cidr Cheat Sheet is an essential resource for mastering this critical networking concept.

In summary, CIDR notation provides a flexible and efficient way to allocate IP addresses and manage subnets. By understanding the key concepts and using a Cidr Cheat Sheet for quick reference, you can design and implement networks that are both scalable and efficient. Whether you’re working with IPv4 or IPv6, CIDR is an essential tool for modern networking.

Related Terms:

  • cidr ipv4 cheat sheet
  • subnet calculator cidr cheat sheet
  • subnet mask cheat sheet
  • cidr spreadsheet
  • subnet cheat sheet
  • cidr cheat sheet pdf