Brown Nipple Discharge

Brown Nipple Discharge

Breast health is a critical aspect of overall well-being for individuals of all genders. One of the more concerning symptoms that can arise is brown nipple discharge. This condition can be alarming and often prompts individuals to seek medical attention. Understanding the causes, symptoms, and appropriate actions to take when experiencing brown nipple discharge is essential for maintaining breast health.

Understanding Brown Nipple Discharge

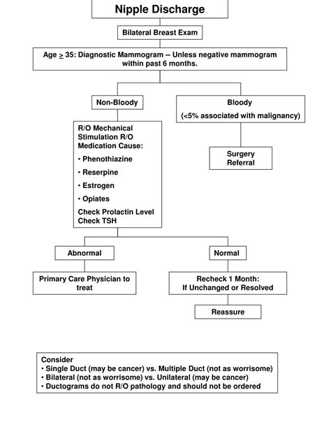
Brown nipple discharge refers to the release of a brown-colored fluid from the nipple. This discharge can vary in consistency and may be accompanied by other symptoms. It is important to note that any nipple discharge, regardless of color, should be evaluated by a healthcare professional to rule out serious underlying conditions.

Causes of Brown Nipple Discharge

Brown nipple discharge can be caused by a variety of factors, ranging from benign conditions to more serious health issues. Some of the common causes include:

  • Intraductal Papilloma: This is a benign tumor that forms in the milk ducts of the breast. It can cause nipple discharge that may be clear, bloody, or brown.
  • Mammary Duct Ectasia: This condition involves the widening and inflammation of the milk ducts, often leading to nipple discharge that can be green, brown, or black.
  • Breast Infection: Infections such as mastitis can cause nipple discharge, which may be brown due to the presence of blood or pus.
  • Breast Cancer: In some cases, brown nipple discharge can be a symptom of breast cancer. It is crucial to consult a healthcare provider for a thorough evaluation.
  • Hormonal Imbalances: Fluctuations in hormone levels, often related to menstrual cycles or hormonal therapies, can lead to nipple discharge that may be brown.
  • Medications: Certain medications, including some types of birth control pills, can cause changes in nipple discharge.

Symptoms Associated with Brown Nipple Discharge

Brown nipple discharge may be accompanied by other symptoms that can provide additional clues about the underlying cause. Some of these symptoms include:

  • Pain or Tenderness: Discomfort or pain in the breast area.
  • Lumps or Swelling: The presence of lumps or swelling in the breast.
  • Redness or Warmth: Changes in the skin of the breast, such as redness or warmth.
  • Itching or Burning: Sensations of itching or burning around the nipple.
  • Changes in Nipple Appearance: Alterations in the shape or texture of the nipple.

When to Seek Medical Attention

If you experience brown nipple discharge, it is important to consult a healthcare professional promptly. Early detection and treatment of underlying conditions can significantly improve outcomes. Here are some guidelines on when to seek medical attention:

  • If the discharge is accompanied by pain, swelling, or redness.
  • If the discharge is persistent or recurring.
  • If you notice any lumps or changes in the breast tissue.
  • If you have a family history of breast cancer.
  • If you are experiencing other concerning symptoms, such as fever or fatigue.

📌 Note: While brown nipple discharge can be benign, it is always best to err on the side of caution and consult a healthcare provider for a thorough evaluation.

Diagnostic Procedures

To determine the cause of brown nipple discharge, a healthcare provider may perform several diagnostic procedures. These may include:

  • Physical Examination: A thorough examination of the breasts to check for lumps, swelling, or other abnormalities.
  • Mammogram: An X-ray of the breast to detect any masses or abnormalities.
  • Ultrasound: A imaging test that uses sound waves to create images of the breast tissue.
  • Biopsy: A procedure in which a small sample of breast tissue is removed for laboratory analysis.
  • Blood Tests: To check for hormonal imbalances or infections.

Treatment Options

The treatment for brown nipple discharge depends on the underlying cause. Some common treatment options include:

  • Observation: In cases where the discharge is benign and not causing discomfort, a healthcare provider may recommend regular monitoring.
  • Medications: Antibiotics for infections, hormonal therapies for hormonal imbalances, or pain relievers for discomfort.
  • Surgery: In cases of intraductal papilloma or mammary duct ectasia, surgical removal of the affected tissue may be necessary.
  • Lifestyle Changes: Adjustments to diet, exercise, and stress management to support overall breast health.

Preventive Measures

While not all cases of brown nipple discharge can be prevented, there are several steps you can take to maintain breast health and reduce the risk of developing breast conditions:

  • Regular Self-Exams: Perform regular breast self-exams to detect any changes or abnormalities.
  • Clinical Breast Exams: Schedule regular clinical breast exams with a healthcare provider.
  • Mammograms: Undergo routine mammograms as recommended by your healthcare provider.
  • Healthy Lifestyle: Maintain a healthy diet, engage in regular exercise, and avoid smoking and excessive alcohol consumption.
  • Hormonal Balance: Manage hormonal imbalances through appropriate medical treatments.

📌 Note: Early detection and prompt treatment of breast conditions can significantly improve outcomes and quality of life.

Support and Resources

Dealing with brown nipple discharge can be emotionally challenging. It is important to seek support from healthcare providers, family, and friends. Additionally, there are numerous resources available to provide information and support for individuals experiencing breast health issues. Some of these resources include:

  • Breast Cancer Organizations: Organizations that provide information, support, and resources for individuals with breast cancer and other breast conditions.
  • Support Groups: Groups that offer emotional support and shared experiences for individuals dealing with breast health issues.
  • Online Forums: Online communities where individuals can connect, share information, and seek advice.
  • Healthcare Providers: Trusted healthcare professionals who can provide guidance, support, and treatment options.

Support and resources can play a crucial role in helping individuals cope with the emotional and physical challenges associated with brown nipple discharge and other breast health issues.

In conclusion, brown nipple discharge is a symptom that should not be ignored. Understanding the causes, symptoms, and appropriate actions to take can help individuals seek timely medical attention and improve their overall breast health. Regular self-exams, clinical breast exams, and mammograms are essential for early detection and treatment of breast conditions. By taking proactive steps and seeking support, individuals can maintain their breast health and well-being.