Bernoulli Differential Equation

Bernoulli Differential Equation

Differential equations are fundamental tools in mathematics and science, used to model a wide range of phenomena from population growth to electrical circuits. Among the various types of differential equations, the Bernoulli Differential Equation stands out due to its unique form and applications. This equation is named after Jacob Bernoulli, a Swiss mathematician who made significant contributions to the field of calculus and differential equations.

Understanding the Bernoulli Differential Equation

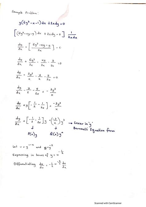
The Bernoulli Differential Equation is a first-order nonlinear differential equation of the form:

y' + p(x)y = q(x)y^n

where p(x) and q(x) are continuous functions on an interval, and n is a real number. This equation is particularly interesting because it can be transformed into a linear differential equation through a change of variables.

Transforming the Bernoulli Differential Equation

To solve a Bernoulli Differential Equation, we first transform it into a linear differential equation. The transformation involves a change of variables that simplifies the equation. Here are the steps to transform and solve a Bernoulli Differential Equation:

1. Identify the equation: Start with the given Bernoulli Differential Equation in the form y' + p(x)y = q(x)y^n.

2. Change of variables: Let v = y^(1-n). This change of variables is crucial because it linearizes the equation.

3. Differentiate: Compute the derivative of v with respect to x:

v' = (1-n)y^(-n)y'

4. Substitute: Substitute y and y' in terms of v into the original equation:

y' = (1/(1-n))v^(-1/(1-n))v'

5. Simplify: Simplify the equation to obtain a linear differential equation in terms of v:

v' + (1-n)p(x)v = (1-n)q(x)

6. Solve the linear equation: Use standard methods to solve the linear differential equation for v.

7. Back-substitute: Substitute back v = y^(1-n) to find the solution for y.

💡 Note: The change of variables v = y^(1-n) is valid for n ≠ 1. If n = 1, the equation is already linear and can be solved directly.

Examples of Solving Bernoulli Differential Equations

Let's go through a couple of examples to illustrate the process of solving Bernoulli Differential Equations.

Example 1

Consider the differential equation:

y' + 2xy = x^3y^2

Here, p(x) = 2x, q(x) = x^3, and n = 2.

1. Change of variables: Let v = y^(1-2) = y^(-1).

2. Differentiate: Compute v':

v' = -y^(-2)y'

3. Substitute: Substitute y and y' into the original equation:

y' = -v^(-2)v'

4. Simplify: Simplify to get a linear equation:

v' - 2xv = -x^3

5. Solve the linear equation: Use an integrating factor to solve for v.

6. Back-substitute: Substitute back v = y^(-1) to find y.

Example 2

Consider the differential equation:

y' + y = xy^3

Here, p(x) = 1, q(x) = x, and n = 3.

1. Change of variables: Let v = y^(1-3) = y^(-2).

2. Differentiate: Compute v':

v' = -2y^(-3)y'

3. Substitute: Substitute y and y' into the original equation:

y' = -(1/2)v^(-1/2)v'

4. Simplify: Simplify to get a linear equation:

v' + 2v = -2x

5. Solve the linear equation: Use standard methods to solve for v.

6. Back-substitute: Substitute back v = y^(-2) to find y.

Applications of the Bernoulli Differential Equation

The Bernoulli Differential Equation has numerous applications in various fields of science and engineering. Some of the key areas where this equation is used include:

  • Population Dynamics: Modeling the growth of populations where the growth rate depends on the population size.
  • Economics: Analyzing economic models where the rate of change of a quantity is proportional to a power of that quantity.
  • Physics: Studying phenomena such as cooling processes, where the rate of cooling is proportional to a power of the temperature difference.
  • Chemical Reactions: Modeling reaction rates that depend on the concentration of reactants raised to a power.

These applications highlight the versatility and importance of the Bernoulli Differential Equation in modeling real-world phenomena.

Special Cases and Considerations

While the general form of the Bernoulli Differential Equation is well-understood, there are special cases and considerations that are important to note:

  • Case when n = 1: If n = 1, the equation reduces to a linear differential equation, which can be solved using standard methods for linear equations.
  • Case when n = 0: If n = 0, the equation becomes a separable differential equation, which can be solved by separation of variables.
  • Homogeneous Equations: If q(x) = 0, the equation is homogeneous and can be solved using the method of separation of variables.

Understanding these special cases can simplify the solution process and provide insights into the behavior of the solutions.

💡 Note: When solving Bernoulli Differential Equations, it is essential to check the validity of the solutions by substituting them back into the original equation.

Conclusion

The Bernoulli Differential Equation is a powerful tool in the study of differential equations, offering a systematic approach to solving a class of nonlinear equations. By transforming the equation into a linear form through a change of variables, we can leverage well-established methods for solving linear differential equations. This transformation not only simplifies the solution process but also provides deeper insights into the behavior of the solutions. The applications of the Bernoulli Differential Equation span various fields, from population dynamics to economics and physics, making it an indispensable tool for mathematicians and scientists alike. Understanding and mastering the techniques for solving Bernoulli Differential Equations opens up a world of possibilities for modeling and analyzing complex systems.

Related Terms:

  • solving bernoulli differential equation
  • bernoulli differential equation calculator
  • bernoulli differential equation examples pdf
  • bernoulli equation
  • bernoulli's equation in calculus
  • bernoulli differential equation pdf