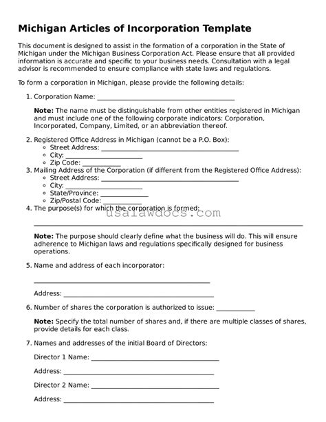
Articles Of Organization Michigan

Articles Of Organization Michigan

Starting a business in Michigan involves several crucial steps, one of which is filing the Articles of Organization Michigan. This document is essential for forming a Limited Liability Company (LLC) in the state. Understanding the process and requirements for filing the Articles of Organization Michigan can help ensure a smooth and successful business launch.

Understanding the Articles of Organization Michigan

The Articles of Organization Michigan is a legal document that formally establishes an LLC in the state. This document includes key information about the LLC, such as its name, address, and the names of its members or managers. Filing this document with the Michigan Department of Licensing and Regulatory Affairs (LARA) is a mandatory step in the formation process.

Key Components of the Articles of Organization Michigan

The Articles of Organization Michigan must include several essential components to be accepted by LARA. These components are:

  • LLC Name: The name of the LLC must be unique and comply with Michigan's naming requirements. It should include an LLC designator such as "Limited Liability Company," "LLC," or "L.L.C."
  • Registered Agent: The registered agent is a person or entity designated to receive legal documents on behalf of the LLC. The registered agent must have a physical address in Michigan.
  • Effective Date: This is the date when the LLC will officially begin its existence. It can be the date of filing or a future date specified by the filer.
  • Management Structure: The document must specify whether the LLC will be managed by its members or by appointed managers.
  • Organizer Information: The organizer is the person or entity responsible for filing the Articles of Organization Michigan. Their name and address must be included.

Filing the Articles of Organization Michigan

Filing the Articles of Organization Michigan involves several steps. Here is a detailed guide to help you through the process:

Step 1: Choose a Unique LLC Name

Before filing, ensure that your chosen LLC name is available and complies with Michigan's naming rules. You can check the availability of your desired name on the LARA website. The name must be distinguishable from any other business entity registered in Michigan.

Step 2: Appoint a Registered Agent

Select a registered agent who will receive legal documents on behalf of your LLC. The registered agent must have a physical address in Michigan. This can be an individual or a registered agent service.

Step 3: Prepare the Articles of Organization

Gather all the necessary information and prepare the Articles of Organization Michigan. You can file online through the LARA website or by mail. The document should include:

  • The LLC's name and address
  • The name and address of the registered agent
  • The effective date of the LLC
  • The management structure (member-managed or manager-managed)
  • The organizer's name and address

Step 4: File the Document

Submit the Articles of Organization Michigan to LARA. You can file online for faster processing or by mail. The filing fee is $50, which can be paid by credit card if filing online or by check if filing by mail.

📝 Note: Ensure all information provided is accurate and complete to avoid delays in processing.

Step 5: Receive Confirmation

After LARA processes your filing, you will receive a confirmation document. This document serves as proof that your LLC has been officially formed. Keep this document for your records.

Post-Filing Requirements

Once your LLC is formed, there are additional steps and ongoing requirements to maintain compliance with Michigan law. These include:

  • Operating Agreement: Although not required by law, creating an operating agreement is highly recommended. This document outlines the functional and financial decisions of the LLC, including rules, structural aspects, and provisions.
  • EIN: Apply for an Employer Identification Number (EIN) from the IRS. This is necessary for tax purposes and for opening a business bank account.
  • Annual Statement: File an annual statement with LARA. This statement updates the state on any changes to your LLC's information and must be filed by February 15th each year. The filing fee is $25.

Benefits of Filing the Articles of Organization Michigan

Filing the Articles of Organization Michigan offers several benefits, including:

  • Limited Liability Protection: LLC members are protected from personal liability for the LLC's debts and obligations.
  • Flexible Management Structure: LLCs can be managed by members or appointed managers, providing flexibility in how the business is run.
  • Pass-Through Taxation: LLCs can choose to be taxed as a partnership, S corporation, or sole proprietorship, avoiding double taxation.
  • Credibility and Professionalism: Forming an LLC enhances the credibility and professionalism of your business, making it more attractive to clients and partners.

Common Mistakes to Avoid

When filing the Articles of Organization Michigan, it's important to avoid common mistakes that can delay the process or result in rejection. Some of these mistakes include:

  • Incorrect Information: Ensure all information provided is accurate and up-to-date. Incorrect information can lead to delays or rejection.
  • Incomplete Document: Make sure the document includes all required information. Missing details can result in rejection.
  • Non-Compliance with Naming Rules: Ensure the LLC name complies with Michigan's naming requirements. A non-compliant name can lead to rejection.
  • Incorrect Filing Fee: Double-check the filing fee to ensure it is correct. Incorrect fees can delay processing.

📝 Note: Reviewing the Articles of Organization Michigan carefully before submission can help avoid these common mistakes.

Conclusion

Filing the Articles of Organization Michigan is a critical step in forming an LLC in the state. By understanding the requirements and following the proper procedures, you can ensure a smooth and successful business launch. From choosing a unique LLC name to appointing a registered agent and filing the necessary documents, each step plays a crucial role in establishing your LLC. Additionally, maintaining compliance with post-filing requirements and avoiding common mistakes will help your LLC thrive in Michigan’s business environment.

Related Terms:

  • articles of organization michigan llc
  • articles of organization michigan example
  • articles of organization michigan form
  • articles of organization michigan template
  • articles of incorporation michigan
  • articles of organization michigan online