Apush Leq Example

Apush Leq Example

Mastering the APUSH Long Essay Question (LEQ) is a crucial skill for students aiming to excel in the Advanced Placement United States History (APUSH) exam. The APUSH LEQ example provided in this post will guide you through the essential steps to craft a well-structured and compelling essay. Understanding the format, requirements, and strategies for tackling the LEQ can significantly enhance your performance on the exam.

Understanding the APUSH LEQ Format

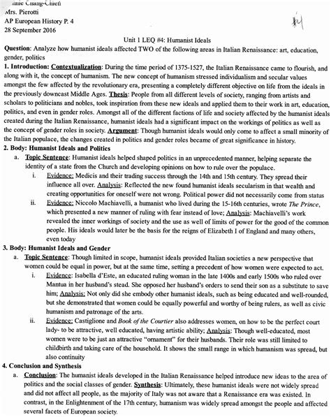
The APUSH LEQ is designed to assess your ability to analyze historical evidence, develop a thesis, and support your arguments with relevant examples. The essay typically consists of three parts:

  • A thesis statement that clearly states your argument.
  • Body paragraphs that provide evidence and analysis to support your thesis.
  • A conclusion that summarizes your main points and reinforces your thesis.

Each part of the essay plays a critical role in demonstrating your understanding of the historical context and your analytical skills. Let's delve into each component in detail.

Crafting a Strong Thesis Statement

A strong thesis statement is the foundation of your APUSH LEQ example. It should be clear, concise, and arguable. Your thesis should answer the prompt and provide a roadmap for your essay. Here are some tips for crafting a compelling thesis:

  • Be Specific: Avoid vague statements. Clearly state your position on the topic.
  • Use Evidence: Mention specific historical events or figures that support your argument.
  • Be Arguable: Ensure your thesis can be debated and is not a statement of fact.

For example, if the prompt asks about the impact of the Industrial Revolution on American society, a strong thesis might be:

"The Industrial Revolution transformed American society by creating a new class structure, altering the economic landscape, and fostering urbanization, ultimately leading to significant social and political changes."

Developing Body Paragraphs

Body paragraphs are where you provide the evidence and analysis to support your thesis. Each paragraph should focus on a single aspect of your argument and include:

  • Topic Sentence: A clear statement that introduces the main idea of the paragraph.
  • Evidence: Specific historical examples, data, or quotes that support your argument.
  • Analysis: Explanation of how the evidence supports your thesis.

For instance, if one of your body paragraphs discusses the creation of a new class structure due to the Industrial Revolution, it might look like this:

"The Industrial Revolution led to the emergence of a new class structure, with industrialists and factory owners at the top and a growing working class at the bottom. The rise of factories created a demand for labor, attracting workers from rural areas to cities. This migration resulted in the formation of urban working-class communities, which faced harsh working conditions and low wages. The contrast between the wealthy industrialists and the impoverished workers highlighted the economic disparities of the era, contributing to social unrest and the eventual rise of labor movements."

Writing a Compelling Conclusion

The conclusion of your APUSH LEQ example should summarize your main points and reinforce your thesis. It should not introduce new information but rather provide a final perspective on your argument. Here are some tips for writing a strong conclusion:

  • Restate Your Thesis: Begin by restating your thesis in a slightly different way.
  • Summarize Key Points: Briefly recap the main points of your essay.
  • Provide a Final Perspective: Offer a concluding thought that ties everything together.

For example, a conclusion for the Industrial Revolution essay might be:

"In conclusion, the Industrial Revolution had a profound impact on American society, reshaping its economic, social, and political landscape. The creation of a new class structure, the transformation of the economic landscape, and the rise of urbanization were pivotal changes that continue to influence modern society. Understanding these transformations is essential for comprehending the complexities of American history."

APUSH LEQ Example: Step-by-Step Guide

Let's walk through an APUSH LEQ example step by step. Suppose the prompt is:

"Analyze the impact of the New Deal on the American economy during the Great Depression."

Step 1: Develop a Thesis Statement

Your thesis should address the prompt directly. For this example, a strong thesis might be:

"The New Deal implemented by President Franklin D. Roosevelt significantly alleviated the economic hardships of the Great Depression by providing relief to the unemployed, promoting recovery through public works projects, and implementing reforms to prevent future economic crises."

Step 2: Outline Your Body Paragraphs

Create an outline for your body paragraphs, ensuring each one focuses on a specific aspect of your thesis. For this example, your outline might look like this:

Paragraph Topic Evidence
1 Relief for the Unemployed Civilian Conservation Corps (CCC), Works Progress Administration (WPA)
2 Promoting Recovery Public Works Administration (PWA), National Recovery Administration (NRA)
3 Economic Reforms Social Security Act, Securities and Exchange Commission (SEC)

Step 3: Write Your Body Paragraphs

Using your outline, write detailed body paragraphs that include topic sentences, evidence, and analysis. Here is an example of the first body paragraph:

"The New Deal provided immediate relief to the unemployed through various programs. The Civilian Conservation Corps (CCC) employed young men in conservation projects, providing them with jobs and skills. The Works Progress Administration (WPA) offered employment in public works projects, such as building roads and bridges, which not only provided jobs but also improved the nation's infrastructure. These programs helped to reduce unemployment rates and provided a sense of security to millions of Americans during the Great Depression."

📝 Note: Ensure that each body paragraph is well-structured and directly supports your thesis. Avoid introducing new ideas that are not related to your main argument.

Step 4: Write Your Conclusion

Summarize your main points and reinforce your thesis in the conclusion. For this example, the conclusion might be:

"In summary, the New Deal's initiatives in relief, recovery, and reform played a crucial role in mitigating the economic hardships of the Great Depression. By providing jobs to the unemployed, promoting economic recovery through public works, and implementing reforms to prevent future crises, the New Deal laid the groundwork for a more stable and resilient American economy. Understanding the impact of the New Deal is essential for appreciating its enduring legacy in American history."

Common Mistakes to Avoid

When writing your APUSH LEQ example, be mindful of common mistakes that can weaken your essay. Here are some pitfalls to avoid:

  • Vague Thesis: Ensure your thesis is clear and specific. Avoid general statements that do not provide a clear direction for your essay.
  • Lack of Evidence: Support your arguments with specific historical examples and data. Avoid making unsubstantiated claims.
  • Poor Organization: Structure your essay logically, with a clear introduction, body paragraphs, and conclusion. Each paragraph should flow smoothly into the next.
  • Irrelevant Information: Stick to the prompt and avoid including information that does not directly support your thesis.

By avoiding these mistakes, you can ensure that your APUSH LEQ example is well-structured, coherent, and persuasive.

Mastering the APUSH LEQ requires practice and a deep understanding of historical context. By following the steps outlined in this post and using the APUSH LEQ example as a guide, you can develop the skills necessary to excel in your APUSH exam. With a strong thesis, well-supported body paragraphs, and a compelling conclusion, you will be well on your way to achieving a high score.

Related Terms:

  • apush leq thesis examples
  • apush saq example
  • apush essay examples
  • apush leq example pdf
  • perfect leq example apush
  • apush short answer questions examples