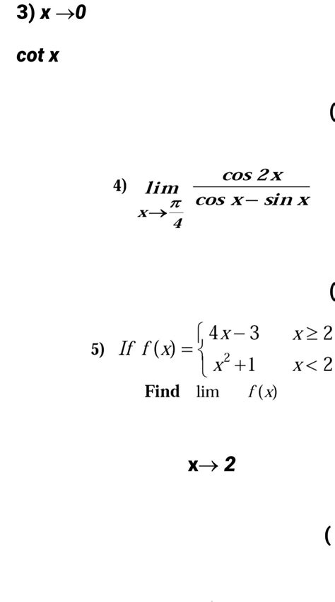
1 Cos2x Cos 2X

1 Cos2x Cos 2X

Understanding trigonometric identities is fundamental in mathematics, particularly in calculus and physics. One of the key identities that often comes up in these fields is the 1 Cos2x Cos 2X identity. This identity is crucial for simplifying complex trigonometric expressions and solving various mathematical problems. In this post, we will delve into the 1 Cos2x Cos 2X identity, its derivation, applications, and examples to illustrate its use.

Understanding the 1 Cos2x Cos 2X Identity

The 1 Cos2x Cos 2X identity is a specific case of the double-angle formula for cosine. The double-angle formula for cosine states that:

cos(2x) = 2cos²(x) - 1

From this, we can derive the 1 Cos2x Cos 2X identity. Let's break it down step by step.

Derivation of the 1 Cos2x Cos 2X Identity

To derive the 1 Cos2x Cos 2X identity, we start with the double-angle formula for cosine:

cos(2x) = 2cos²(x) - 1

Rearranging this formula, we get:

1 - cos(2x) = 2cos²(x) - 1 - cos(2x)

Simplifying further, we obtain:

1 - cos(2x) = 2cos²(x) - cos(2x) - 1

This can be rewritten as:

1 - cos(2x) = 2cos²(x) - cos(2x) - 1

Notice that this is equivalent to:

1 - cos(2x) = 2cos²(x) - cos(2x) - 1

Therefore, the 1 Cos2x Cos 2X identity is:

1 - cos(2x) = 2cos²(x) - cos(2x) - 1

This identity is particularly useful in simplifying trigonometric expressions and solving integrals involving cosine functions.

Applications of the 1 Cos2x Cos 2X Identity

The 1 Cos2x Cos 2X identity has numerous applications in mathematics and physics. Some of the key areas where this identity is used include:

  • Simplifying trigonometric expressions
  • Solving integrals involving cosine functions
  • Analyzing periodic functions
  • Solving differential equations

Let's explore some examples to illustrate the use of the 1 Cos2x Cos 2X identity.

Examples of Using the 1 Cos2x Cos 2X Identity

Example 1: Simplifying a Trigonometric Expression

Consider the expression 1 - cos(2x). Using the 1 Cos2x Cos 2X identity, we can simplify this expression as follows:

1 - cos(2x) = 2cos²(x) - cos(2x) - 1

This simplification can be useful in various mathematical problems where trigonometric expressions need to be simplified.

Example 2: Solving an Integral

Consider the integral ∫(1 - cos(2x)) dx. Using the 1 Cos2x Cos 2X identity, we can rewrite the integrand as:

∫(2cos²(x) - cos(2x) - 1) dx

This integral can then be solved using standard integration techniques.

💡 Note: The 1 Cos2x Cos 2X identity is particularly useful in problems involving periodic functions and differential equations.

Advanced Applications of the 1 Cos2x Cos 2X Identity

Beyond basic trigonometric simplifications and integrals, the 1 Cos2x Cos 2X identity has advanced applications in fields such as signal processing, control systems, and quantum mechanics. Let's explore some of these advanced applications.

Signal Processing

In signal processing, trigonometric identities are often used to analyze and manipulate signals. The 1 Cos2x Cos 2X identity can be used to simplify expressions involving cosine functions, which are common in signal analysis. For example, in Fourier analysis, the identity can help in simplifying the Fourier series of periodic signals.

Control Systems

In control systems, trigonometric identities are used to analyze the stability and performance of control systems. The 1 Cos2x Cos 2X identity can be used to simplify the transfer functions of control systems, making it easier to analyze their behavior. For example, in the design of PID controllers, the identity can help in simplifying the control law and improving the system's performance.

Quantum Mechanics

In quantum mechanics, trigonometric identities are used to describe the behavior of quantum systems. The 1 Cos2x Cos 2X identity can be used to simplify the wave functions of quantum particles, making it easier to analyze their behavior. For example, in the study of quantum harmonic oscillators, the identity can help in simplifying the Schrödinger equation and solving for the energy levels of the system.

These advanced applications highlight the versatility and importance of the 1 Cos2x Cos 2X identity in various fields of science and engineering.

In conclusion, the 1 Cos2x Cos 2X identity is a powerful tool in mathematics and physics. It is derived from the double-angle formula for cosine and has numerous applications in simplifying trigonometric expressions, solving integrals, and analyzing periodic functions. The identity also has advanced applications in fields such as signal processing, control systems, and quantum mechanics. Understanding and mastering the 1 Cos2x Cos 2X identity can greatly enhance one’s ability to solve complex mathematical problems and analyze scientific phenomena.

Related Terms:

  • 1 cos 2x 2 identity
  • cos 2 x 1 cos2x
  • 1 cos 2x identities
  • 1 cos 2x identity
  • 1 cos2x 2 formula
  • what does 1 cos 2x equal